Gravitational wave observations have revolutionized our understanding of black holes, revealing crucial details about their masses and spins. These measurements, collected from binary black hole mergers, offer a rare glimpse into the astrophysical processes shaping these enigmatic objects.
Recent research highlights a key challenge: theories predict a mass gap in black holes born from massive stars. This gap arises due to pair instability processes, where the cores of stars between approximately 40 and 130 solar masses experience instability, preventing black hole formation in this range. Yet, gravitational wave data consistently reveals black holes within this gap, suggesting alternate formation scenarios.
One compelling explanation involves hierarchical mergers in dense star clusters. In these environments, smaller black holes repeatedly merge, producing larger ones that populate the predicted mass gap.
This theory aligns with observations of the third gravitational wave transient catalog, which shows a population of massive black holes exhibiting unique spin characteristics.

Researchers identified a lower mass edge of this gap at 44 solar masses, supported by Bayesian statistical analyses. This finding strengthens the case for a dynamically formed population of black holes.
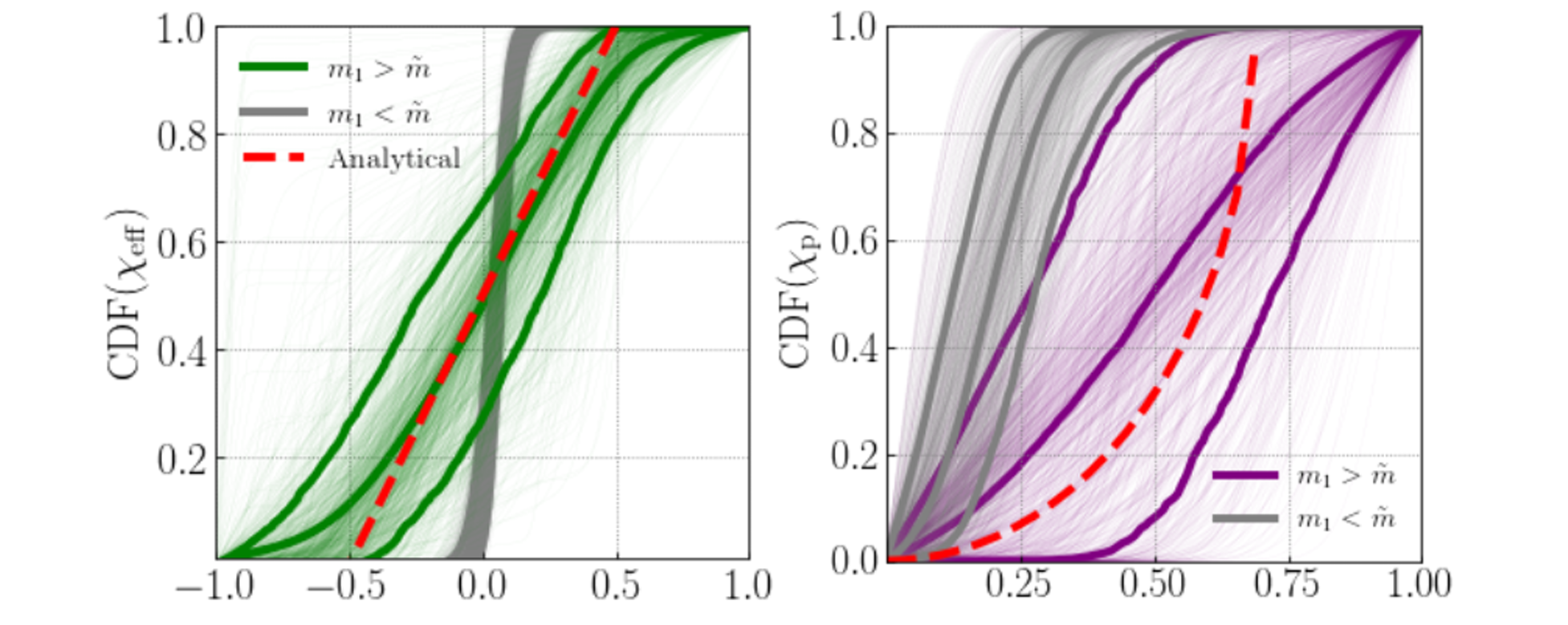
Understanding black hole spin provides crucial insights into their origins. Spin is influenced by the processes leading to a black hole’s formation.
For example, a black hole’s effective inspiral spin, χeff, reflects the alignment of individual component spins relative to their orbital angular momentum. Another parameter, χp, captures spin precession. These measures are key to distinguishing between different formation pathways.
A Cardiff University-led study analyzed spin distributions using data from 69 black hole mergers detected by The Laser Interferometer Gravitational-Wave Observatory (LIGO) and Virgo Observatory. Their findings revealed a significant spin pattern change at higher black hole masses.
Related Stories
Dr. Fabio Antonini, lead author, noted, “Black holes exhibit diverse masses and spins, suggesting various formation scenarios.” The observed spin changes align with hierarchical mergers within star clusters, where successive collisions create more massive black holes.
These discoveries underscore the importance of spin measurements. Co-author Dr. Isobel Romero-Shaw explained, “Spin is a strong indicator of a black hole’s formation history. High-mass black holes with unique spin distributions likely form in dense clusters through repeated mergers.”
This data-driven approach enables astrophysicists to link black hole properties to their environments, offering insights into the universe’s most extreme phenomena.
The findings also address a longstanding mystery: why the expected pair-instability mass gap appears filled in gravitational wave data.

Hierarchical mergers provide a plausible resolution, suggesting that black holes in the gap originate from dynamical interactions rather than isolated stellar evolution. These results challenge earlier assumptions about black hole formation and emphasize the role of dense star clusters.
Future advancements in gravitational wave detection promise to refine these theories further. Upcoming observatories like the Einstein Telescope will improve sensitivity, enabling the detection of even more massive black holes.
Dr. Thomas Callister, a co-author, emphasized the importance of collaborative efforts and advanced statistical techniques to expand these findings. He stated, “Next-generation detectors will provide unprecedented insights into black hole origins.”
By connecting spin measurements to formation environments, this research marks a significant step forward. It bridges the gap between theory and observation, helping scientists decode the cosmic processes driving black hole evolution.

As gravitational wave catalogs grow, so too will our understanding of these extraordinary objects and their place in the universe.
The most massive black holes known are ultramassive black holes (UMBHs), each containing billions of times the mass of our Sun.
It’s not clear how ultramassive black holes form, but some theories suggest they may have formed from the merging of smaller black holes. Others suggest they may have formed during the cosmic noon, a period when star formation was at its peak.

Notable examples include:
These immense black holes challenge our understanding of galaxy formation and evolution, as their sheer size suggests unique growth histories and significant influence on their surroundings.
Note: Materials provided above by The Brighter Side of News. Content may be edited for style and length.
Like these kind of feel good stories? Get The Brighter Side of News’ newsletter.
The post Black holes differ in mass and spin: May have formed in different ways appeared first on The Brighter Side of News.