If you were small enough to fit inside an ant nest, you would hear it as much as you would see it. The walls shiver with tiny footsteps. The ground carries constant vibration. In that crowded, dark space, a caterpillar trying to survive has a problem: how do you convince a suspicious ant colony that you belong?
A team led by researchers at the University of Warwick says some butterfly caterpillars may solve that problem with rhythm.
The new work, conducted with the University of Turin and the Forest Research Institute and published in Annals of the New York Academy of Sciences, reports that caterpillars closely tied to ants produce precisely timed vibrational patterns that resemble the ants’ own signals. Chemical mimicry has long been known in these partnerships. This study argues that timing, down to steady beats and alternating long-short patterns, also helps caterpillars get treated like insiders.
Dr. Chiara De Gregorio, a research fellow in Warwick’s Department of Psychology, put it bluntly: “These caterpillars are essentially speaking the ants’ language, not just chemically, but rhythmically. By matching the ants’ beat, they can convince them they belong.”

She also framed the result in human terms. “Rhythm is a fundamental part of human life: we dance to it, clap to it, and instantly notice when something feels out of time. But complex rhythmic organisation has been mainly seen in primates, so for us to find that even ants and caterpillars rely on carefully timed rhythmic signals to communicate is very exciting.”
Then she went one step further: “So, the next time you tap your foot to a beat, remember that somewhere underground, caterpillars may be doing something surprisingly similar: keeping time to stay alive.”
Some butterflies depend on ants early in life. As caterpillars, they can be carried into nests, guarded from predators, and sometimes even fed. The ants, in turn, may receive sugary secretions, or they may be fooled by caterpillars that behave enough like colony members to avoid attack.
Scientists already knew that chemistry plays a major role. Many ant-associated species mimic colony odors or otherwise fit into the ants’ chemical world. The new research adds another channel: vibroacoustic signals, meaning tiny vibrations transmitted through plants, soil, or the structure of the nest.
In ant colonies, vibrations are not just background noise. They can help coordinate defense, alarm, recruitment, and rescue behavior, and they can carry information linked to social roles. That makes them useful. It also makes them a weakness, because other creatures can exploit them.
This is especially relevant in lycaenid butterflies, a family in which more than 75 percent of species form facultative or obligate associations with ants. Past work has shown that some lycaenid caterpillars and pupae emit substrate-borne signals that can manipulate ant behavior, sometimes by resembling cues associated with ant queens.

What had not been examined in much depth, the authors write, is rhythm itself: the temporal patterning that might make one vibration train easy to notice and another easy to ignore.
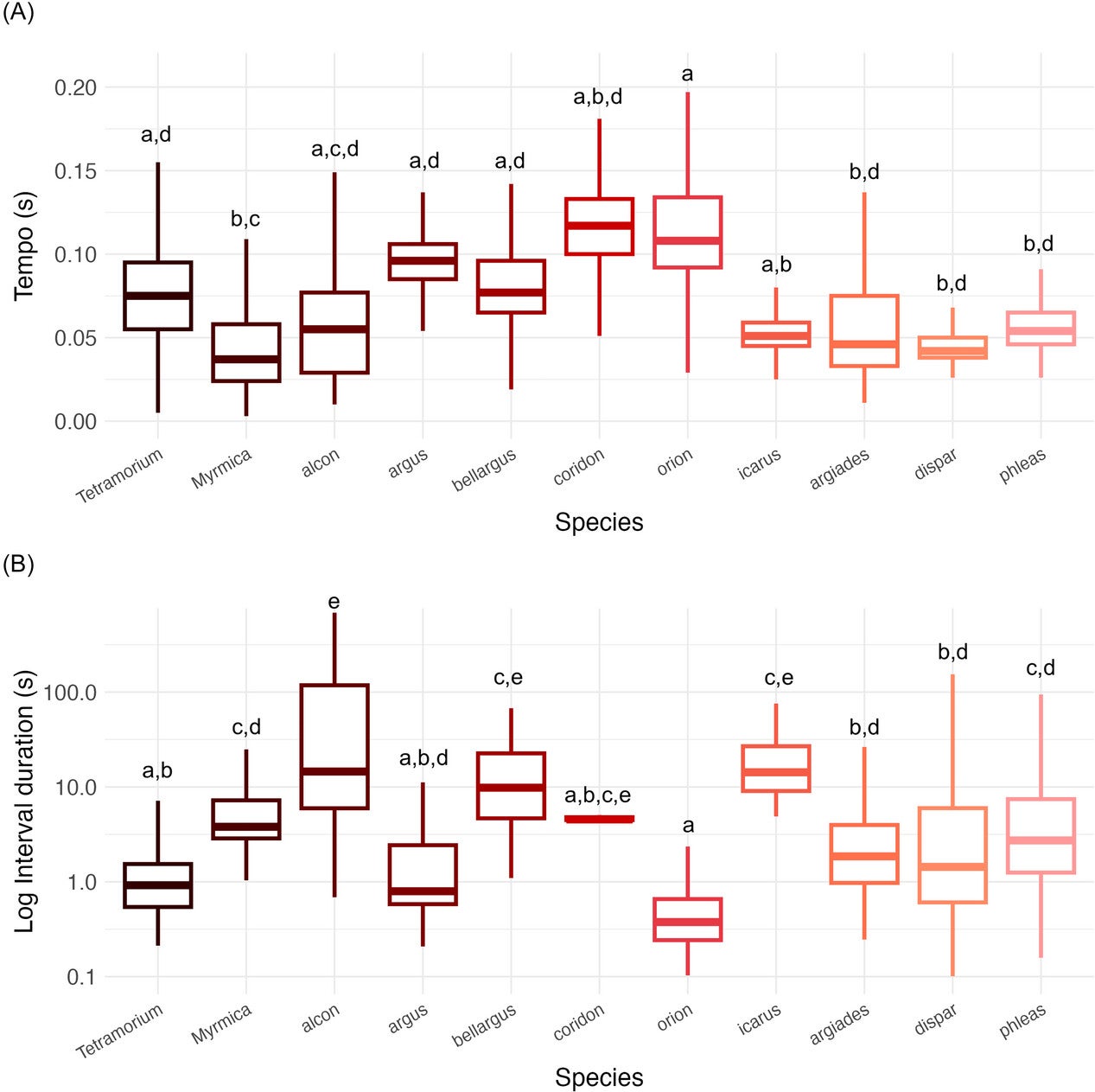
To test that, the researchers compared signals from two ant groups, Myrmica and Tetramorium, and from nine lycaenid butterfly species: Lycaena dispar, Lycaena phlaeas, Cupido argiades, Polyommatus icarus, Polyommatus bellargus, Polyommatus coridon, Scolitantides orion, Plebejus argus, and Phengaris alcon.
The animals were collected in Northern Italy between May 2012 and April 2014. Caterpillars and ants were recorded in a setup designed to reduce disturbance. Individuals were placed on a sensitive miniature microphone in an anechoic chamber to limit background noise and were recorded for 20-minute intervals. The team analyzed 56 recordings, each from a different individual: 11 Myrmica, 12 Tetramorium, and the rest spread across the butterfly species, with as few as one recording for P. coridon.
The researchers focused on the timing between pulses within a “train” of pulses, and on the pauses between trains. They measured thousands of timing intervals. For instance, they obtained 8754 interonset intervals for Myrmica and 5581 for Tetramorium, and 5324 for P. alcon, among other totals.
Then they looked for rhythmic traits the way a musician might, except the “notes” were pulse timing. The analysis included two rhythm concepts that matter here. One is isochrony, basically an even, metronome-like spacing. The other is “double meter,” an alternating long-short pattern, described in the paper as 1:2 and 2:1 relationships between adjacent intervals.

One headline finding was that all groups showed an isochronous component. In other words, a steady beat was common across ants and caterpillars, even species that do not strongly associate with ants.
The key split came with double meter. Ants and the most ant-dependent caterpillars were the only groups that showed those additional rhythmic categories. The paper reports strong differences between on-integer and off-integer bins for ants and for the “High” myrmecophily group at 1:1, 1:2, and 2:1 ratios (all p < 0.001). Medium, low, and non-myrmecophilous groups did not show significant support for the double meter bins.
Prof. Francesca Barbero of the Department of Life Sciences and Systems Biology at the University of Turin offered one reason that precision could matter: “In the dark, crowded environment of an ant nest, where constant vibrations and noise are unavoidable, precise rhythm may help signals stand out and be recognized quickly. For caterpillars, getting the rhythm right can be vital: it may determine whether ants provide care and protection, or ignore them completely.”
Timing differences also showed up in tempo and pauses. The two ant groups differed from each other. Among the caterpillars, there were species-level differences too. At the broader category level, caterpillars with a medium degree of myrmecophily had slower pulse tempo than ants (p = 0.002), slower than low-degree caterpillars (p = 0.006), and slower than non-myrmecophilous species (p = 0.002). For the pauses between trains, high-myrmecophily caterpillars showed longer intervals than ants (p = 0.020), while other differences were not detected in that comparison.
One detail might surprise you: ants were less regular than all other groups for isochrony regularity rate, with p < 0.001 for all contrasts reported in Table 3. The authors suggest a possible reason in the discussion. Ant vibrations can serve many different purposes, so variation may be part of their normal signaling range. Caterpillar signals, by contrast, may be more specialized, aiming to hold attention and avoid rejection.

The paper takes a cautious approach to what this means. It does not claim ants and caterpillars experience rhythm the way humans do. Instead, it argues that complex temporal patterning can arise in small animals and may be shaped by ecological pressure, especially when survival depends on convincing another species.
It also adds a nuance. The authors do not describe a smooth ladder where more ant dependence always means more ant-like timing. Moderately myrmecophilous species showed more variable patterns, which the authors link to other pressures like energy costs, differences in substrate, and relationships with multiple ant species rather than one tightly coevolved host.
The broader point stands: rhythmic structure may be more widespread as a communication tool than many people assume, even among insects.
Research findings are available online in the Annals of the New York Academy of Sciences.
The original story “Caterpillars use precise vibrational patterns to communicate with ants” is published in The Brighter Side of News.
Like these kind of feel good stories? Get The Brighter Side of News’ newsletter.
The post Caterpillars use precise vibrational patterns to communicate with ants appeared first on The Brighter Side of News.
Leave a comment
You must be logged in to post a comment.