A daily multivitamin did not turn back the clock in any dramatic sense. But in a large clinical trial of older adults, it did appear to slow one version of aging that researchers can measure in blood.
The effect was modest, about four months less biological aging over two years, according to an analysis led by Mass General Brigham investigators and published in Nature Medicine. Still, the finding stood out because it came from a randomized trial, not an observational study, and because the biggest gains appeared in people who started out biologically older than their actual age.
“There is a lot of interest today in identifying ways to not just live longer, but to live better,” said senior author Howard Sesso, associate director of the Division of Preventive Medicine in the Mass General Brigham Department of Medicine. “It was exciting to see benefits of a multivitamin linked with markers of biological aging.”
The work used data from the COSMOS trial, a large study that tested both a daily multivitamin and cocoa extract in older adults. For this analysis, researchers focused on 958 healthy participants with an average age of 70.2. About half were female, and most were white.

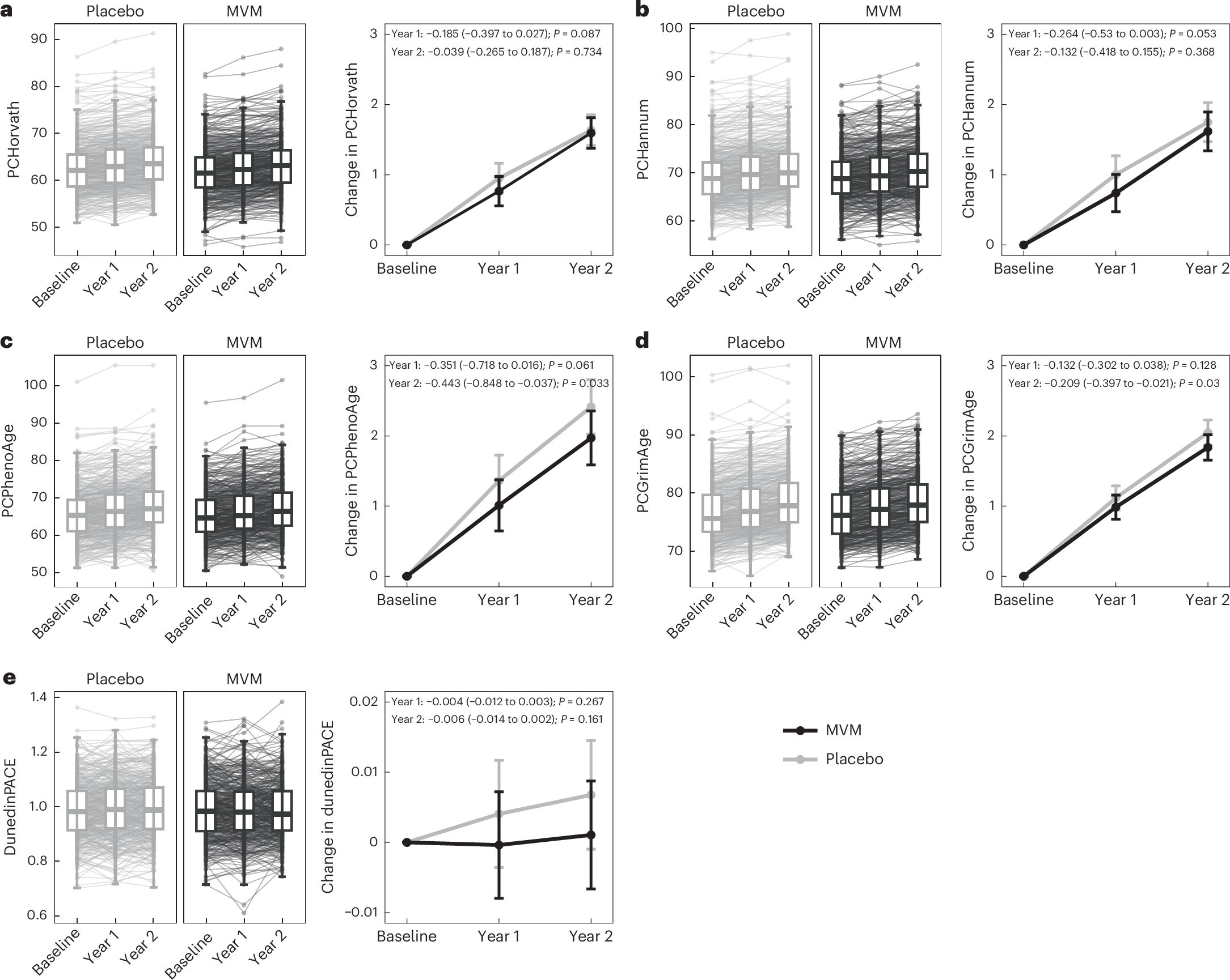
The team tracked biological aging with five so-called epigenetic clocks. These tools estimate aging by measuring DNA methylation, small chemical changes that can affect how genes are regulated. Some of the clocks are tied more closely to chronological age. Others are designed to better predict mortality risk or the pace of decline across body systems.
Blood samples were collected at baseline and again after one and two years. Participants had been randomly assigned to one of four groups: multivitamin plus cocoa extract, multivitamin plus placebo, cocoa extract plus placebo, or two placebos.
Compared with the placebo-only group, people taking the multivitamin showed slower aging across all five clocks. Two of those measures, called PCPhenoAge and PCGrimAge, reached statistical significance. The yearly decrease was 0.214 years for PCPhenoAge and 0.113 years for PCGrimAge, which the researchers said translated to roughly 2.7 to 5.1 months less biological aging after two years.
One pattern mattered more than the overall average. Participants whose biological age was already running ahead of their actual age at the start of the study seemed to benefit the most.
Among those with accelerated aging on the PCGrimAge measure at baseline, the multivitamin significantly reduced the rise in that aging marker over two years. Similar patterns showed up in other clocks, though not every interaction reached statistical significance.
That result hints that the people most likely to benefit may be those entering older age with a heavier biological burden.

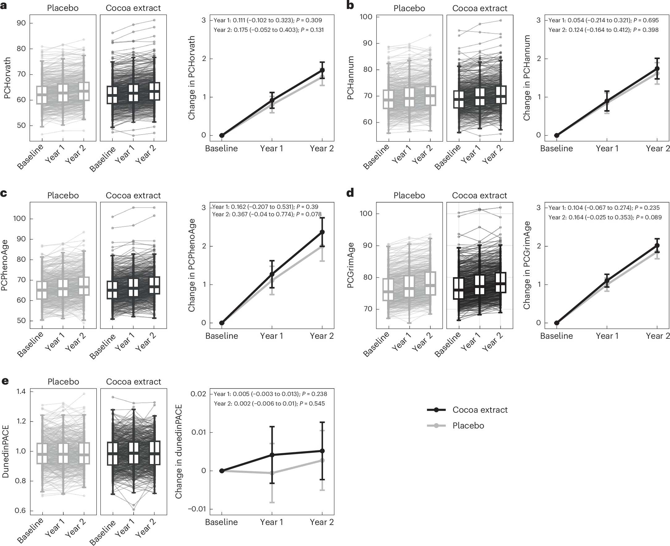
The trial also tested cocoa extract, which had produced promising signals in earlier COSMOS analyses for cardiovascular outcomes. Here, it did not slow biological aging on any of the five clocks.
In fact, cocoa extract significantly increased yearly change in one measure, PCPhenoAge, though the authors said that may partly reflect regression to the mean rather than a true harmful effect.
That uneven result reinforces a larger point running through the paper: these aging clocks do not all capture the same thing. An intervention may help one part of the aging process and leave another untouched.
The multivitamin findings were also small. Researchers were careful about that.
They did not claim that a daily pill clearly extends life or prevents disease on the basis of this analysis alone. Instead, they argued that the biological aging changes line up with earlier COSMOS findings suggesting benefits for cognition, cancer and cataracts, while stopping well short of proving cause and effect.
“We plan to do follow-up research to determine if the slowing of biological aging, observed through these five epigenetic clocks, and additional or new ones, persists after the trial ends,” said co-author Yanbin Dong, director of Georgia Prevention Institute at the Medical College of Georgia at Augusta University.

The study came with several limits.
It only included older adults, and most participants were non-Hispanic white, which narrows how broadly the results can be applied. The researchers also did not adjust for multiple comparisons, arguing that the clocks are highly correlated and not statistically independent. Even so, that choice leaves room for false positives.
There were technical limits as well. Measurement error in DNA methylation assays may have pushed effects toward zero. The clocks themselves capture only part of what aging is. And while the trial lasted two years, it still does not show whether longer multivitamin use would produce stronger effects or lead to clear clinical benefits.
The authors also said their mediation analyses, which looked at whether these epigenetic changes might help explain improvements in memory or inflammatory markers, were underpowered and mostly not statistically significant.
So the headline here is not that aging has been solved by a vitamin bottle.
It is that one accessible intervention produced a measurable shift in two widely used aging biomarkers in a large randomized trial, and that shift was strongest in people aging faster to begin with.
Research findings are available online in the journal Nature Medicine.
The original story “Daily multivitamin use may slow biological aging, study finds” is published in The Brighter Side of News.
Like these kind of feel good stories? Get The Brighter Side of News’ newsletter.
The post Daily multivitamin use may slow biological aging, study finds appeared first on The Brighter Side of News.