Dense dark matter clumps link three strange objects across the universe

A tiny object half a universe away, a scar in a stream of stars circling the Milky Way, and an unusual star cluster in a nearby satellite galaxy may not seem related at first glance. Yet a new study argues they could all trace back to the same kind of invisible structure. This structure is built from a more active version of dark matter than physicists usually assume.

That idea matters because dark matter is not a side note in cosmic history. It makes up about 85% of the universe’s matter. However, no one has seen it directly. Scientists infer its presence from gravity, from the way galaxies rotate, how galaxy clusters behave, and how light bends on its way to Earth.

For years, the standard picture has treated dark matter as cold and collisionless. In that view, its particles drift through one another without much fuss. The model works well on large scales. But some smaller, denser structures have kept standing out as awkward exceptions.

A team led by UC Riverside physicist Hai-Bo Yu now suggests those exceptions may point to self-interacting dark matter, or SIDM, a form in which dark matter particles can collide and exchange energy. Under the right conditions, those interactions can drive a process called gravothermal collapse. This process packs dark matter into extremely dense, compact cores.

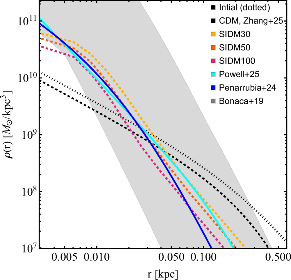
Density profiles of the JVAS B1938+666 strong-lensing perturber from radio observations [1] (solid cyan), the Fornax substructure [2] (solid blue), and the GD-1 stream perturber [5] (shaded gray band).
Density profiles of the JVAS B1938+666 strong-lensing perturber from radio observations [1] (solid cyan), the Fornax substructure [2] (solid blue), and the GD-1 stream perturber [5] (shaded gray band). (CREDIT: Physical Review Letters)

“The difference is like a crowd of people who ignore each other versus one where everyone is constantly bumping into one another,” Yu said. “In SIDM, these interactions can dramatically reshape the internal structure of dark matter halos. Dark matter that interacts with itself can become dense enough to explain these observations.”

Three clues, one explanation

The study focuses on three strange cases, all involving objects with masses around a million times that of the sun.

One sits in the gravitational lens system JVAS B1938+666. There, astronomers detected an ultra-dense object through its effect on radio observations of a distant galaxy. The object has a precisely measured mass of about 1.13 million solar masses within a projected radius of 80 parsecs. It also has a total mass near 2.82 million solar masses. Its density is unusually high for something so small and so far away.

Another clue appears much closer to home, in the GD-1 stellar stream. This is a long ribbon of stars in the Milky Way that looks as if something invisible punched through it, leaving behind a spur and a gap. To produce that pattern, the unseen perturber must have been both low in mass and highly concentrated.

The third case lies in the Fornax satellite galaxy, which orbits the Milky Way. In addition to its five known globular clusters, Fornax also hosts a sixth cluster called Fornax 6. This one looks odd. Its stars have a metallicity and age similar to metal-rich field stars in Fornax, but unlike those in the other five clusters. It also appears to have an unusually high mass-to-light ratio, estimated at about 15 to 258 solar masses per solar luminosity, and shows no tidal tails.

That has led researchers to consider a striking possibility. Instead of forming like a normal star cluster, Fornax 6 may have grown when a dense dark matter clump temporarily captured passing field stars and held them together.

“What’s striking is that the same mechanism works in three completely different settings, across the distant universe, within our galaxy, and in a neighboring satellite galaxy,” Yu said. “All show densities that are difficult to reconcile with standard model dark matter but arise naturally in SIDM.”

The cylindrical mass profiles for the B1938 + 666 strong-lensing perturber [1] (solid cyan), an NFW halo (solid black) with mass M₂₀₀ = 3.5 × 10⁶ M☉ and concentration c₂₀₀ ≈ 291, which is 9σ above the cosmological median for isolated halos, and a truncated NFW halo (dashed black), together with its initial halo (dotted black) with M₂₀₀ = 10¹² M☉ and concentration c₂₀₀ ≈ 30, corresponding to 5σ above the median.
The cylindrical mass profiles for the B1938 + 666 strong-lensing perturber [1] (solid cyan), an NFW halo (solid black) with mass M₂₀₀ = 3.5 × 10⁶ M☉ and concentration c₂₀₀ ≈ 291, which is 9σ above the cosmological median for isolated halos, and a truncated NFW halo (dashed black), together with its initial halo (dotted black) with M₂₀₀ = 10¹² M☉ and concentration c₂₀₀ ≈ 30, corresponding to 5σ above the median. (CREDIT: Physical Review Letters)

When dark matter stops acting quietly

To test the idea, the researchers compared the density profiles of all three objects. Despite their very different environments, the profiles looked remarkably similar. Each object appeared denser and more compact in its inner regions than standard cold dark matter would normally predict.

The team then compared those observations with simulations of dark matter halos evolving under self-interactions. In these models, halos first pass through a phase in which their inner densities drop. Later, after about 2 billion years, they begin to collapse inward. That collapse can create very dense cores.

The simulated SIDM halos that underwent core collapse matched the inferred densities of the three observed objects far better than the standard cold dark matter case did. The study found the best agreement for self-interaction cross sections in the range of about 30 to 100 square centimeters per gram.

That does not mean the fit is perfect in every detail. The researchers note that current observations of the GD-1 perturber and the Fornax substructure remain broad enough that several specific density profiles could still work. The object in JVAS B1938+666 is more tightly constrained. However, the study says a lensing analysis built directly around SIDM-based profiles would offer a sharper test.

There is another catch. The current simulations were not tailored to each individual system. Instead, they used an idealized setup meant to explore whether such dense objects could emerge naturally under SIDM collapse. The authors argue the main result still holds. But they say system-specific simulations will be needed to pin down details such as orbital history, halo concentration, and the exact scattering strength.

Trouble for the usual picture

The standard cold dark matter model is not ruled out outright, but it struggles here.

For the GD-1 perturber, earlier work found no dense enough examples among 125 simulated progenitor halos in a Milky Way-like system. In the case of JVAS B1938+666, matching the observed density within cold dark matter would require a halo with an extreme concentration. This concentration is far outside what cosmological expectations usually allow.

In one scenario tested by the authors, a low-mass halo would need a concentration about 9 sigma above the cosmological median. Even a much larger progenitor halo, around a trillion solar masses, would still need to be a 5 sigma outlier. That kind of result does not make the standard model impossible. However, it makes it hard to treat as a comfortable fit.

The authors also leave room for a more ordinary explanation in at least some cases. They say the dense objects in JVAS B1938+666 and GD-1 could still turn out to be unidentified globular clusters. Core-collapsed SIDM halos and globular clusters can share similar inner structures. This means future observations will be needed to tell them apart.

That uncertainty matters. So does another one. The study’s highest-resolution cosmological simulations still do not resolve the inner density profiles of halos around a million solar masses as well as researchers would like. Better modeling, and cleaner data, will be essential before anyone can claim the case is closed.

Still, the appeal of the new picture is hard to miss. Rather than treating each odd object as a separate astrophysical nuisance, the SIDM interpretation folds all three into one framework.

Practical implications of the research

If this explanation holds up, it would shift how physicists think about dark matter on small cosmic scales. Instead of being entirely passive, dark matter may sometimes collide with itself and reshape the structures it forms.

That would affect how researchers interpret gravitational lensing systems, stellar streams, and faint satellite galaxies. It could also guide future telescope searches for other dense dark objects hiding in plain sight through their gravitational effects alone.

More broadly, it would give scientists a concrete target for building and testing particle models that go beyond the standard cold dark matter picture.

Research findings are available online in the journal Physical Review Letters.

The original story “Dense dark matter clumps link three strange objects across the universe” is published in The Brighter Side of News.


Related Stories

Like these kind of feel good stories? Get The Brighter Side of News’ newsletter.


The post Dense dark matter clumps link three strange objects across the universe appeared first on The Brighter Side of News.

Stay up to date
Register now to get updates on promotions and coupons
HTML Snippets Powered By : XYZScripts.com

Shopping cart

×