In its purest form (with no extra debris), liquid water can exist as a liquid until -40°C if left still (unmoving). In order to actually freeze this water below 0°C, there must be something (a “template”) to provide the exact arrangements of molecules necessary for ice to form.
Some bacteria have developed proteins that do this; thus, these bacteria represent the most effective biological ice-forming agents in nature. Researchers now have determined that the same ice-forming capability may exist within certain fungi species. However, the evolution of this fungal ability is very surprising.
A recently published paper in Science Advances by researchers at Boise State University’s Department of Chemistry and Biochemistry and the Max Planck Institute for Polymer Research, led by Konrad Meister, provides a new class of ice-nucleating proteins in lower fungi belonging to the family Mortierellaceae.
This presents a resolution to an age-old question about these fungi regarding how and why they possess such an extraordinary method for initiating ice formation compared to other living organisms, including bacteria.

This answer is the result of the transfer of genetic information across kingdoms, possibly hundreds of millions of years ago.
The genetic blueprint for the production of ice-nucleating proteins originated from bacteria. Current knowledge indicates that ice-nucleating genes have long existed in a variety of bacterial species (for example, the bacterium Pseudomonas syringae). In fact, this gene (InaZ) encodes a large protein that is found embedded in the bacterial cell membrane.
InaZ coordinates the orderly arrangement of water molecules into straight lines in order to trigger the transition of liquid water into solid ice. The repetitive molecular structure mimics the surface of an ice crystal and acts to form ice at much higher temperatures than would occur in water without this type of structure.
Meister’s group sequenced the genomes of ice-active Mortierellaceae fungi collected from polar expeditions, as well as from water and lichens, and found genes with a high level of similarity to the gene InaZ. This finding is contrary to their predictions.
The team conducted phylogenetic studies to build a family tree for the lineage of the ice-active fungi. They reached the conclusion that the InaZ gene likely moved from bacteria into a common ancestor of fungi by means of horizontal gene transfer, which is the movement of genetic material across unrelated organisms rather than through direct reproduction. This conclusion is supported by the fact that the fungal gene carries a chemical signature that is more similar to bacterial DNA than to the surrounding fungal genome.
Rosemary Eufemio, a doctoral student in Biomolecular Sciences at Boise State, is one of the authors of the report. She states, “Although they appear similar, they are actually distinct from each other.” While fungal and bacterial ice-nucleating proteins contain the same repetitive sequence architecture used to construct their ice-forming sites, fungi have developed a more soluble and stable version of these sites. This likely provides advantages within their ecological niches.

Freed from their surrounding membrane, bacterial and fungal ice nucleation proteins are structurally quite distinct. For example, bacterial proteins perform optimally when contained within a cell membrane, while fungal proteins have sufficient surface area to initiate ice nucleation.
A membrane is not required to create large functional aggregate clusters from multiple proteins in fungi. While ice acts as a template for cluster formation, the clustering process typically requires sufficient surface area for water molecules to nucleate.
In bacteria, this often depends on a membrane to bring many proteins together into a large aggregate. Fungal ice-nucleating proteins, as discovered by Meister’s group, do not require any membrane for clustering. They exist as free-floating proteins in solution and can form clusters independently.
These cluster-forming abilities arise from structural features that are only found in fungi, including cysteine residues located near the C-terminus of the protein. These residues can form disulfide bonds, which chemically stabilize the folded shape of the protein while preventing it from unfolding. These cysteine residues are absent from the bacterial version of the nucleating proteins.
Using artificial intelligence tools for protein structural prediction, the researchers modeled the structures of the proteins they studied. They discovered that clusters of three to five proteins aligned in a row create a sufficiently wide surface area for effective ice nucleation. When enough of the proteins align in parallel, the surface can nucleate ice at temperatures between -5°C and -8°C. This performance is competitive with the best biological ice nucleators currently known.
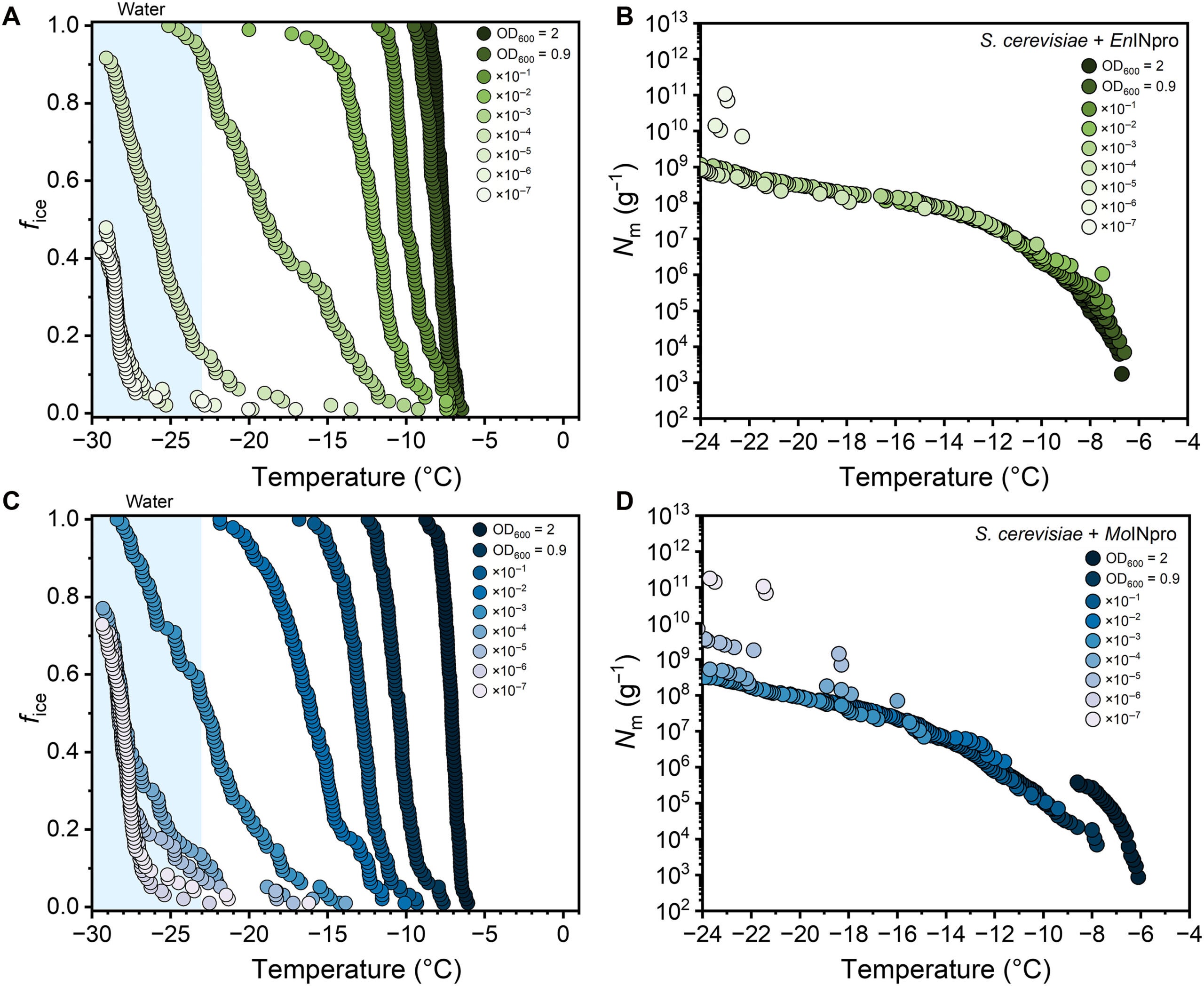
To confirm that the identified genes produce ice-nucleating proteins, the research team transferred two of the fungal genes into either yeast or E. coli, both of which cannot naturally form ice. Upon transformation, both organisms became ice-active. The freezing temperature for yeast shifted from about -26°C to approximately -7°C, representing a significant increase in nucleating efficiency achieved by transferring a single gene from the fungus.

The assumption that fungi can generate ice crystals through ice nucleation by other microorganisms is primarily based on the likelihood of those species being present when conditions permit ice formation.
What distinguishes these fungal ice nucleators from other types (such as bacteria and algae) is that many fungi, including Mortierellaceae, are commonly found in soil. If the ice-nucleating proteins produced by these organisms remain active at concentrations typically found in ambient environments, then assessments of their role in atmospheric and environmental processes may change significantly.
In terms of potential uses in Controlled Freezing Technology (CFT), fungal proteins possess favorable properties. Bacterial ice-nucleation proteins (INPs) have limitations in how they exist and interact in nature. Compared to fungal (water-soluble) INPs, bacterial (membrane-associated) INPs are more complex to extract and use in practical applications.
Water-soluble INPs can be isolated, handled, and incorporated into various formulations and technological processes more easily than membrane-based counterparts.
Cryopreservation is one area of biotechnology where CFT has direct clinical implications. Damage resulting from uncontrolled ice crystal growth during the cryopreservation of human cells, tissues, and organs remains a major obstacle to successful storage and transplantation. A water-soluble protein that can trigger predictable ice formation at a specific temperature provides a potential solution to this problem.

Thus far, evidence suggests that many fungi acquired their ability to produce ice-nucleation proteins through direct gene transfer from bacteria rather than independent evolution. This provides insight into how functional traits can spread across biological kingdoms and expands the list of organisms that must be studied for their role in atmospheric chemistry and cloud formation.
The identification of stable, water-soluble, non-membrane-associated ice-nucleating proteins presents new opportunities in materials science and biotechnology. These proteins offer a pathway for innovation that is not available with bacterial INPs. Their ability to withstand repeated exposure to extreme acidity, alkalinity, and freeze-thaw cycles makes them suitable for applications requiring both durability and consistent performance.
The next step is to characterize the high-resolution assembly of these proteins into functional clusters and determine their feasibility, including effective concentrations, for commercial applications.
You may be asking, why are the researchers implying that water freezes at minus 40°C. If that is unclear, here is the answer in more detail.
Tap water and ordinary water freeze at 0°C — This occurs because ordinary water contains impurities, dissolved minerals, and microscopic particles that act as nucleation sites, giving ice crystals something to form around. Even if you have a water filter at home, these particles are small enough to get through.
Pure, distilled water — With nothing in it to trigger crystallization, pure, distilled water can actually stay liquid well below 0°C, a phenomenon called supercooling. Under controlled lab conditions it can remain liquid down to around minus 40°C.
You may be asking,…, but how is this possible, if the distilled water I buy at the store still freezes at 0°C? You’re making a completely fair point, and it exposes an imprecision in how this science gets explained.
Store-bought distilled water does still freeze at or near 0°C in a home freezer, and that’s because even commercially distilled water isn’t perfectly pure at the molecular level. It still contains trace dissolved gases, microscopic particles, and ions that provide enough of a nucleation surface to trigger freezing at the normal temperature. Your freezer also has a physical container with walls and surfaces that help initiate crystallization.
The supercooling phenomenon that researchers describe happens under very specific laboratory conditions: water that has been exceptionally purified, held in containers designed to minimize surface contact, kept perfectly still, and isolated from vibration or disturbance. Even a tiny shock to the container at that point can trigger instant freezing.
Fungal proteins trigger ice formation — At temperatures as high as minus 5°C, the fungi are able to nucleate ice in otherwise supercooled water that would resist freezing without that biological trigger. Minus 5°C is actually impressively warm for a biological ice nucleator working in that context.
Research findings are available online in the journal Science Advances.
The original story “Fungi proteins can make water freeze faster and easier” is published in The Brighter Side of News.
Like these kind of feel good stories? Get The Brighter Side of News’ newsletter.
The post Fungi proteins can make water freeze faster and easier appeared first on The Brighter Side of News.