Some of the young universe’s biggest structures were hiding in plain sight.
Astronomers have now identified more than 33,000 giant hydrogen gas halos around distant galaxies, a dramatic jump from the roughly 3,000 known before. The halos, called Lyman-alpha nebulae, date to about 10 billion to 12 billion years ago, during a period known as Cosmic Noon, when galaxies were building stars at their fastest rate.
That matters because galaxies could not keep growing without fuel. In this era, hydrogen gas was the raw material. The new catalog suggests these glowing reservoirs were not odd exceptions after all, but a common feature of galaxies in the early universe.
“We’ve been analyzing the same handful of objects for the past 20 or so years,” said Erin Mentuch Cooper, lead author of the study and HETDEX data manager. “HETDEX is letting us find many more of these halos and measure their shapes and sizes. It has really allowed us to create an amazing statistical catalogue.”
The work appears in The Astrophysical Journal.

Hydrogen is hard to spot on its own because it does not produce light directly. But near energetic galaxies, especially ones full of ultraviolet-emitting stars, the gas can glow in Lyman-alpha light. Catching that glow is difficult, and earlier surveys mostly found only the brightest and strangest examples.
That left a big blind spot. Astronomers had some small halos, a few giant ones, and not much in between.
The Hobby-Eberly Telescope Dark Energy Experiment, or HETDEX, changed that scale. Using the Hobby-Eberly Telescope at McDonald Observatory, the project is mapping more than a million galaxies while also collecting information about the space between them.
“We’ve captured nearly half a petabyte of data on not only these galaxies but the regions in between,” said Karl Gebhardt, HETDEX principal investigator, chair of The University of Texas at Austin’s astronomy department, and a co-author on the paper. “Our observations cover a region of the sky measuring over 2,000 full Moons. The scope is enormous and unprecedented.”
One sentence in the results says almost everything: nearly half of the bright early galaxies they examined showed signs of an extended halo.
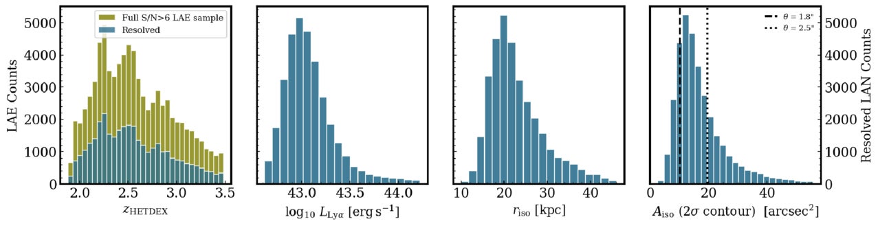
The team started with 79,830 Lyman-alpha-emitting galaxies from HETDEX’s fifth internal data release, then narrowed that sample to 70,691 sources with reliable fits. Of those, 33,612 were best described not as simple point sources, but as systems with a compact core plus a broader halo. That works out to 47.5% of the parent sample.

These halos can be huge. The resolved sample has a median isophotal radius of 21.7 kiloparsecs, and 152 systems stretch beyond 50 kiloparsecs. Their Lyman-alpha luminosities span a wide range, with a median value of 10^43.15 erg per second.
Some look tidy, centered on a single galaxy. Others do not.
“Those are the fun ones,” Mentuch Cooper said. “They look like giant amoebas with tendrils extending into space.”
The survey also found that the halos come in many brightness and size combinations, filling in a missing middle ground between compact Lyman-alpha halos and larger Lyman-alpha blobs. That gives astronomers something they have long lacked: a statistical sample large enough to compare different kinds of systems instead of building theories around a few famous objects.
The study also found that only about 12.2% of the halo sample is identified as active galactic nuclei, or AGN. That means most of these structures are not simply tied to obvious black hole activity.
Still, AGN do matter. The biggest halos, especially those with isophotal radii above 40 kiloparsecs, tended to appear more often around optically bright AGN. Radio matches from LOFAR showed a similar pattern. In the HETDEX Spring field, radio counterparts became much more common as halo size increased, reaching 35% among halos larger than 50 kiloparsecs.

The catalog does more than boost the head count. It also sharpens estimates of how much light these halos contain.
Because HETDEX’s pipeline uses point-source extractions, it can miss extended emission. The team found that isophotal measurements recover about 30% more Lyman-alpha flux on average than the pipeline values. That means some earlier estimates of luminosity, equivalent width, and related properties may be systematically low when extended gas is ignored.
The survey has limits. Surface-brightness sensitivity varies across the dataset, and cosmological dimming makes halos harder to detect at higher redshift. The authors also stress that a source not labeled extended here is not necessarily missing a halo. In deeper or sharper data, many unresolved systems might also turn out to have one.
That caution matters. So does the opportunity.
“There are various models for galaxies in this epoch that largely work and seem to make sense, but there are gaps and holes,” said Dustin Davis, a postdoctoral fellow at UT Austin, HETDEX scientist, and co-author on the study. “Now we can focus in on individual halos and see at a greater detail the physics and mechanics of what’s going on. And then we can fix or throw out the models and try again.”

This study gives astronomers a much larger and more representative sample of hydrogen halos from Cosmic Noon.
That should help researchers test competing ideas about how galaxies gathered gas, how matter was distributed around them, and how star formation and black hole activity shaped their surroundings.
It also shows that treating distant galaxies as point sources can miss a significant share of their light, which could affect measurements used in broader studies of galaxy growth.
Research findings are available online in The Astrophysical Journal.
The original story “Giant hydrogen halos are changing how astronomers view the early universe” is published in The Brighter Side of News.
Like these kind of feel good stories? Get The Brighter Side of News’ newsletter.
The post Giant hydrogen halos are changing how astronomers view the early universe appeared first on The Brighter Side of News.
Leave a comment
You must be logged in to post a comment.