In the mid-1700s, Denmark tried to capture its natural world in ink and copper. Artists and scholars spent more than a century crafting Flora Danica, a massive catalog of plants meant to guide medicine and trade. Today, the country has taken on a quieter target. It is mapping life you cannot see.
The effort is called Microflora Danica, and it tracks the smallest residents of Denmark across fields, forests, lakes and city parks. Led by Aalborg University with major contributions from the University of Vienna, the project has become the first countrywide portrait of a nation’s microbiome. The findings appear in Nature, and they are as sweeping as any botanical atlas.
Instead of flowers and trees, this record follows bacteria, archaea and tiny eukaryotes. You might never notice them, yet they steer soil health, water quality and the air you breathe. As Denmark faces climate stress and heavy farming, the new atlas offers a baseline of microbial life before the future reshapes it.

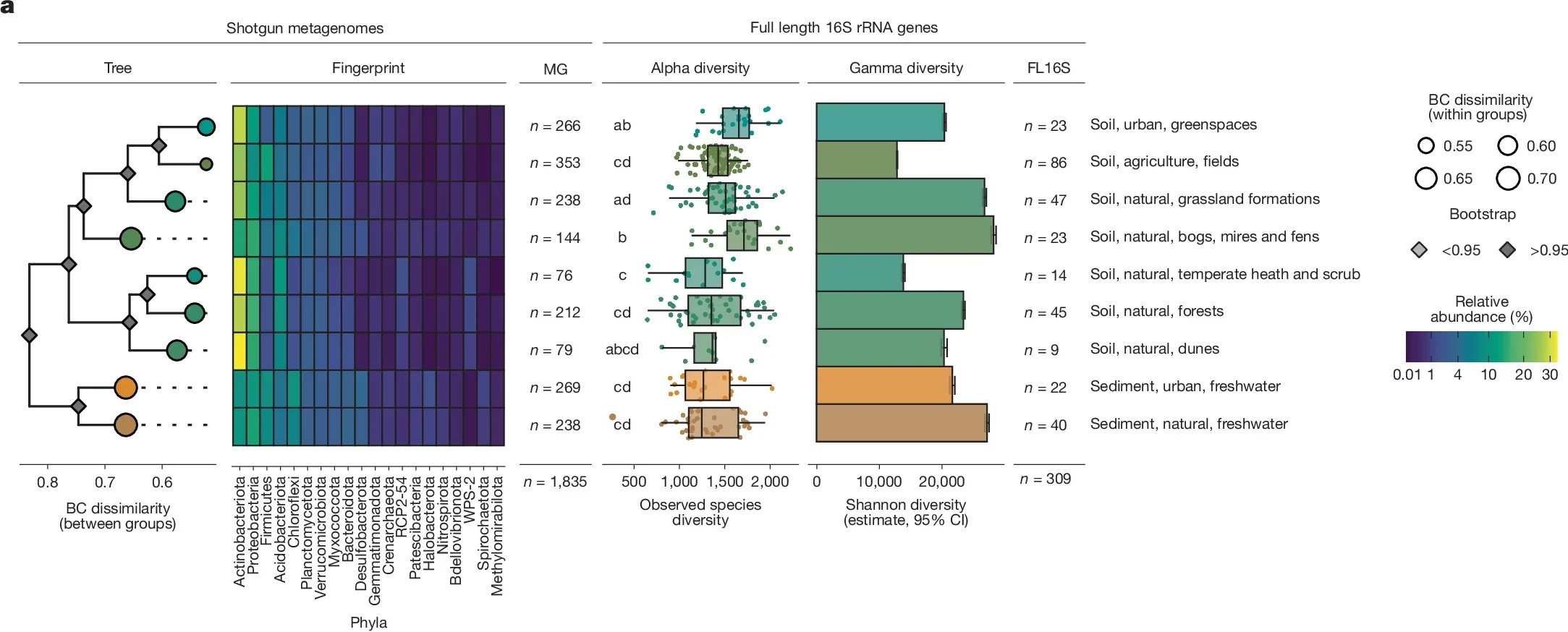
Researchers collected 10,683 samples, spaced across the country at about one site per four square kilometers. From bogs to beaches, from crop rows to playgrounds, they gathered soil, sediment and water. Each sample carried location data and detailed notes on land use.
Back in the lab, the team read trillions of letters of DNA. They used high-depth sequencing to reconstruct who lived where and what those microbes could do. A new five-level habitat system sorted every sample by setting and land use. It turned geography into a living map.
Coverage reached deep. More than a quarter of Denmark’s lakes entered the dataset. So did thousands of fields and forests. The result is not a snapshot from a few hotspots. It is a national scan that lets you compare one place with another.
What the DNA revealed may surprise you. Denmark’s soils and waters hold far more microbial species than textbooks ever suggested. From 458 representative sites alone, scientists found over 141,000 bacterial species-level groups. About 82 percent had no match in reference libraries. Many belonged to known families, yet the species themselves were new.

Tiny eukaryotes showed the same pattern. Roughly three quarters of those species were unknown compared with global databases. Even in a well-studied country, most microscopic life had never been named.
The team also asked a simple question: How many are there in total? Statistical checks say the survey likely captured almost the full pool of bacterial species in the country’s soils. Estimates place minimum terrestrial richness above 114,000 species. It is a reminder that mystery still lives under your feet.
When the researchers compared places, they saw a pattern shaped by people. Fields and city parks often held many species at a single spot. Yet across the whole country, those places shared the same microbes again and again. Natural grasslands and forests, by contrast, supported a wider range overall.
In short, disturbance raised local variety but shrank national diversity. The landscape became more alike from place to place. Scientists call this homogenization, and it carries a warning. When the same microbes dominate everywhere, ecosystems may lose resilience.
The team could even guess habitat type using DNA alone. Computer models sorted samples by their microbial mix. Saltwater and wastewater stood out easily. Different crop fields proved harder to tell apart, which showed how similar many managed soils have become.

One group, Paenibacillus, helped flag farmland. Known for roles in plant growth and soil cycles, it was most common in fields and sediments tied to agriculture. The genome read like a stamp from the plow.
Because Denmark is heavily farmed, the study took a close look at microbes that run the nitrogen cycle. These nitrifiers decide how long fertilizer feeds crops and when it leaks into streams or escapes as nitrous oxide, a strong greenhouse gas that also harms the ozone layer.
Michael Wagner of the University of Vienna and colleagues focused on these gatekeepers. Two major players dominated vast areas, and neither has been grown in a lab. One, a widespread archaeon in farm soils, carried the label TA-21. The team proposes a name: “Candidatus Nitrososappho danica.” It thrives in fields and city greenspaces and fades in natural soils.
Genomic clues suggest it can feed on both ammonia and urea, pull carbon from air, and break down complex food. That flexible diet may explain its success. Since archaea often release less nitrous oxide than bacteria, learning how this species works could matter for climate goals.
The team also uncovered hidden diversity among nitrite processors. Many genes once blamed on a textbook organism, Nitrobacter, actually belonged to relatives in another family. Some may be new actors in nitrogen loss, still waiting to be tested in culture.

Another surprise came from comammox bacteria, which complete the whole conversion from ammonia to nitrate alone. In Denmark, one group called clade B proved more common than expected, especially in natural soils and sediments. A candidate species under the name “Candidatus Nitronatura plena” may be a key player outside farms.
Taken together, the atlas shows how land use reshapes life at the smallest scale. It maps where microbes grow alike and where they stay unique. It reveals new species that may tip the balance between healthy soils and green water.
It also offers a measuring stick for the future. As heat rises, rains shift and droughts spread, scientists can return to the same places and see which microbes hold on and which vanish. Countries could compare atlases, tracing change across borders.
“Our results show that microorganisms that are key drivers of biogeochemical processes are sensitive to land use and environmental changes,” Wagner said. “If we want to make agricultural systems more sustainable and take climate protection seriously, we must systematically consider the microbiome, both in research and in practice.”
For Austria and other farming nations, Denmark’s map serves as both mirror and guide. A national microbiome atlas, he said, can join farming and conservation on shared data.
The atlas can guide smarter fertilizer use by identifying microbes that limit nitrogen loss. That helps cut pollution and reduce greenhouse gas emissions. It also gives land managers a way to track restoration using “microbial fingerprints,” not just plants and animals.
Over time, these data can support crop strategies that work with microbes instead of against them, improving yields while protecting water and air.
Finally, the atlas gives scientists a baseline to measure climate impact, so future changes stand out clearly.
Research findings are available online in the journal Nature.
Like these kind of feel good stories? Get The Brighter Side of News’ newsletter.
The post Global first: Scientists map the microbiome of an entire country appeared first on The Brighter Side of News.
Leave a comment
You must be logged in to post a comment.