Some of the universe’s densest objects can twist, stretch, and resonate in ways that challenge even the most seasoned physicists. Neutron stars, the remnants of massive stars that have exploded as supernovae, cram more mass than the Sun into a sphere barely 20 kilometers wide. Their gravity is billions of times stronger than Earth’s, and their internal matter behaves unlike anything we can directly observe on our planet.
For decades, astronomers have speculated about the interiors of these cosmic heavyweights. Protons and electrons may fuse into neutrons under crushing pressure, but theories also suggest layers of heavy elements, free protons, and even exotic phases like quantum superfluids and superconductors. Understanding this dense matter is crucial, because it could mirror the quark-gluon plasma that existed in the first microseconds after the Big Bang—conditions unreachable in terrestrial laboratories.
A new study led by physicists at the University of Illinois Urbana-Champaign, together with colleagues at the University of California, Santa Barbara, Montana State University, and the Tata Institute of Fundamental Research in India, brings researchers one step closer to peering inside these stars. The work focuses on how neutron stars react to tidal forces as they orbit each other in binary systems.

Binary neutron stars are gravitational powerhouses. As two stars orbit one another, they gradually spiral inward, losing energy in the form of gravitational waves—ripples in spacetime first predicted by Einstein. During this inspiral, each star exerts tidal forces on its partner, deforming the stellar structure just as the Moon raises tides on Earth. These deformations excite oscillatory patterns, known as modes, inside the stars.
“These modes are like ringtones ringing inside the star,” said Abhishek Hegade, a former Illinois Physics graduate student and current postdoctoral scholar at Princeton University. “As they get closer, tidal forces from one star begin to deform the other and vice versa. The amount of deformation depends on what’s inside the stars.”
These subtle oscillations leave fingerprints on the gravitational waves that detectors like LIGO and Virgo capture on Earth. In principle, scientists can read these imprints to infer the stars’ internal composition—effectively using spacetime vibrations as a cosmic stethoscope.
Modeling how neutron stars respond to tidal forces is challenging. In everyday Newtonian physics, tidal effects can be described using a complete set of normal modes—patterns that capture all possible oscillations. However, inspiraling neutron stars are highly relativistic: their extreme gravity and high velocities—up to 40 percent the speed of light—distort spacetime around them. Energy is radiated away as gravitational waves, further complicating the analysis.
“Without a complete set of modes, you could miss part of the tidal response,” explained Illinois Physics Professor Nicolás Yunes. “This is essential if you want to fully understand how the star behaves under these extreme conditions.”

Previous attempts struggled because the Einstein equations governing general relativity are nonlinear and interdependent. The gravitational field inside a star influences the outside field and vice versa. Tidal forces are dynamic, varying rapidly as the stars spiral inward, and energy lost to gravitational radiation can distort the modes.
To navigate these obstacles, Hegade and colleagues divided the star into regions: a strong-gravity interior and a weak-gravity exterior, with a buffer zone connecting the two. Using a mathematical technique called matched-asymptotic expansion, they solved the equations in each region and stitched the solutions together. This allowed them to isolate the tidal response from outgoing radiation, capturing a complete set of oscillatory modes even under full general relativity.
The team discovered that, despite the extreme environment, tidal deformations could be expressed using harmonic-oscillator modes—essentially the same type of oscillations familiar in Newtonian systems. Each mode behaves like a forced, damped spring, responding predictably to the tidal pull of the companion star.
Hegade summarized the result: “We showed that a neutron star’s modes form a complete set. By consistently solving the equations with a smooth tidal field, we can describe the interior oscillations fully, just as in Newtonian gravity.”
This result bridges a long-standing gap in theoretical astrophysics. Until now, there was no general proof that neutron stars in Einstein’s relativistic framework could be fully described with a complete set of modes, leaving uncertainty in models used to interpret gravitational-wave data.
Why does this matter? Gravitational-wave detectors do more than pick up spacetime ripples—they encode information about the stars’ internal structure. How much a neutron star deforms under tidal stress is quantified by a parameter called the Love number, named after the British mathematician who first studied tidal responses. Larger Love numbers indicate a more deformable star; smaller values suggest rigidity.

Accurate modeling of these deformations is crucial. Misinterpreting tidal effects could lead scientists to draw wrong conclusions about a star’s mass, radius, or the exotic states of matter inside. By proving that tidal responses can be described with complete, identifiable modes, the researchers have provided a powerful framework to convert gravitational-wave observations into meaningful constraints on the neutron-star equation of state—the relationship between pressure, density, and temperature inside these stars.
The study opens the door to probing extreme physics beyond the reach of laboratory experiments. Core densities in neutron stars can surpass those of atomic nuclei, and some theories predict quark matter or previously unknown phase transitions in the inner layers. Yunes explained: “One hope is that we’ll be able to get information about the neutron-star equation of state at densities found in the inner core. Are there phase transitions occurring inside that we don’t know about yet?”
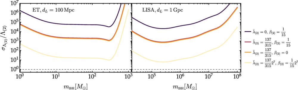
Current detectors are not yet sensitive enough to capture these fine details. The gravitational-wave signals from recent events, such as those recorded in 2017, lack the signal-to-noise ratio required to test the new theoretical predictions. Future observatories like the Cosmic Explorer and Einstein Telescope, alongside fortunate nearby merger events, could provide the necessary precision.
The Illinois-led team plans to extend the framework to rotating stars and include additional complexities, such as nonlinear tidal forces and magnetic fields. Most neutron stars spin rapidly, and extreme magnetic fields are common. These refinements will make models more realistic and further enhance the potential to unlock hidden interior properties from gravitational-wave data.
“The nice thing about our new framework,” Hegade said, “is that we’ve figured out the hard part—gravity. Now it’s a matter of applying our models to more realistic configurations.”

By showing that tidal deformations in the most relativistic and extreme environments can be expressed in familiar, physical terms, the researchers have given gravitational-wave astrophysicists a roadmap. When next-generation detectors come online, these models could allow scientists to translate ripples in spacetime into concrete knowledge about matter under the most extreme conditions in the universe.
This breakthrough gives physicists a reliable method to interpret the dynamic tidal effects observed in gravitational waves.
With this framework, future detections could provide constraints on the stiffness of neutron-star matter, the presence of exotic phases like quark matter, and insights into Einstein’s general relativity in the strongest gravitational fields known.
Over time, these tools may transform our understanding of the densest, most extreme objects in the universe.
Research findings are available online in the journal APS.
The original story “Gravitational waves finally reveal what’s inside neutron stars” is published in The Brighter Side of News.
Like these kind of feel good stories? Get The Brighter Side of News’ newsletter.
The post Gravitational waves finally reveal what’s inside neutron stars appeared first on The Brighter Side of News.