Globally, the number of individuals diagnosed with dementia is expected to dramatically rise from an estimated 57 million in 2019 to 153 million by 2050. Since there is currently no known cure, identifying prevention methods has emerged as a primary means of interest to researchers. Among the numerous modifiable lifestyle factors that researchers have studied in connection with a person’s risk of developing dementia, diet has garnered particular attention.
However, a great deal of conflicting evidence exists regarding the use of dietary patterns that are thought to be protective against dementia, particularly as it pertains to the MIND Diet. While studies have shown an association between adherence to the MIND diet and reduced risk of developing dementia in observational studies, clinical trial evidence for its effectiveness is limited and inconclusive.
The relationship between dairy foods and dementia risk is complicated by the fact that there is significant variation in the fat content, structure, and nutrients of these food groups. For example, total dairy intake may be associated with lower dementia risk based on studies conducted in Asia; however, the relationship is not necessarily consistent across Europe.

Among the variations in dairy intake, some evidence exists linking increased consumption of cheese with improved cognitive function and decreased dementia risk in certain studies, while in others, there is no association shown at all. In addition, there are very few studies examining the possible effects of cream on dementia risk, and the MIND diet recommends limiting cheese as part of the MIND diet.
Within this context, researchers from Sweden examined whether certain dairy products, particularly lower and higher-fat dairy products, differentially relate to long-term outcomes related to the development of dementia.
Data from the Malmö Diet and Cancer Study, an ongoing population-based study in Malmö, Sweden, were analyzed. This study started between 1991 and 1996, and 30,000+ participants aged between 45 and 73 years completed a baseline assessment for inclusion in the study. In total, 27,670 participants were included in the dairy product analyses after excluding individuals with missing data. Approximately 61% of participants were female, with an average age of just over 58 years when they started the study.
A validated method was used to identify dietary intake. Participants were asked to complete a seven-day food diary, a food frequency questionnaire containing 168 items, and participate in a 45- to 60-minute interview to confirm portion sizes and cooking methods. Combining all three sources showed a strong relationship between these and the accuracy of dairy food intake, such as milk, cheese, and cream.

Some dairy products were classified by their fat content, such as milk and fermented milk that had a fat content of 2.5% or more (classified as high-fat), cheese with a fat content of 20% or more (classified as high-fat), and cream with a fat content of 30% or more (classified as high-fat cream). Based on their intake levels, these dairy products were categorized into low (0-25%), medium (26-70%), and high (71-100%) consumers.
Diagnosis of dementia was based on Sweden’s national patient registry, and for cases identified through 2014, diagnosis by specialists in dementia reviewed the medical files, cognitive tests, brain scans, and, if available, spinal fluid markers. About 96% of registered cases were confirmed as having dementia.
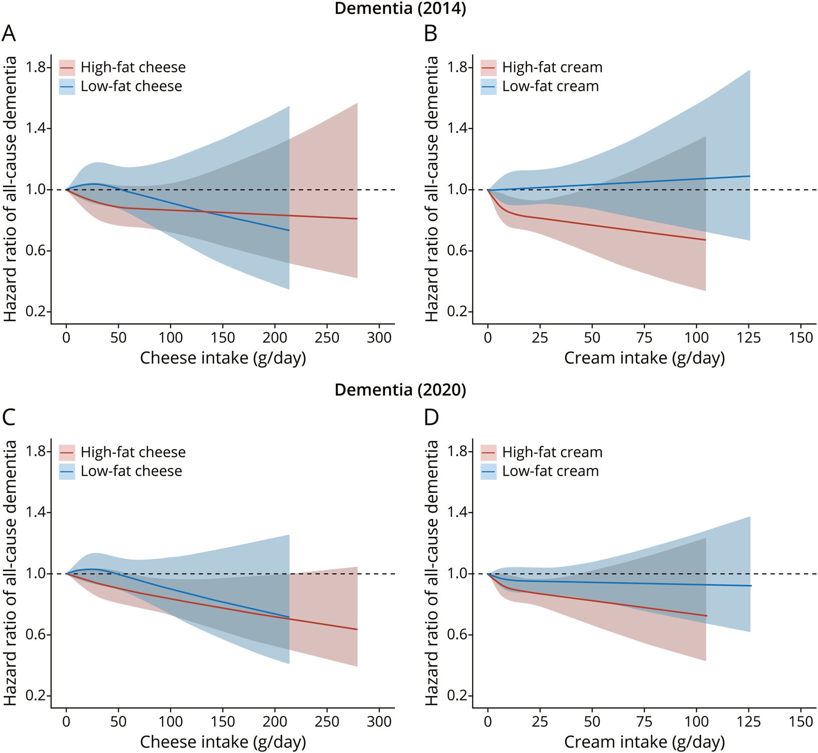
The relationship between cheese, cream, and risk of developing dementia over a median follow-up period of almost 20 years was evaluated in 1,920 participants. As of December 31, 2020, there were 3,208 dementia cases, with the majority being identified through December 31, 2019.
After controlling for age, sex, energy intake, lifestyle factors, health problems, quality of diet, and other dairy products, only two of these products affected the risk of dementia. Higher consumption of high-fat cheese was associated with a reduced risk of dementia. As the daily intake of this product increased by 1 standard deviation, the risk of developing dementia decreased by approximately 5%.

Those consuming at least 50 grams per day of high-fat cheese received the greatest benefit, experiencing a 13% decline in dementia risk compared to individuals eating no more than 15 grams. Similar results were produced by high-fat cream, as individuals who ingested a minimum of 20 grams daily experienced reduced dementia risk compared to those who did not consume high-fat cream at all.
Other types of dairy products did not show consistent evidence of a protective effect against dementia risk. The consumption of low-fat cheese, low-fat cream, high-fat milk, fermented milk, and butter did not demonstrate a strong enough association to warrant a conclusion about whether or not these dairy products impact dementia risk. Low-fat milk did show an increase in risk for dementia in early follow-up, but after an extended follow-up period, that correlation disappeared.
“Upon examining specific forms of dementia, we found that people who consumed higher amounts of full-fat cheese had 29% lower odds of developing vascular dementia than people who did not consume full-fat cheese. We also found that individuals who didn’t carry the APOE e4 allele (the gene variant associated with an increased risk for developing Alzheimer’s) had lower odds of developing Alzheimer’s,” says Emily Sonestedt from Lund University’s Department of Nutritional Epidemiology, in Lund, Sweden.
When researchers looked closely at the types of dementia, the findings revealed that higher consumption of high-fat cheese resulted in lower rates of vascular dementia, while higher intakes of high-fat cream resulted in lower rates of both Alzheimer’s and vascular dementia, when analyzed over time.
The trend observed with butter was different. The participants of this observational study consumed either less than 40 grams (g) of dairy and had a greater risk of developing Alzheimer’s Disease than those who consumed 40 g or more of dairy or were non-consumers of dairy. Other types of Dairy were not consistently associated with Alzheimer’s Disease by subtype.
Genetics also played a role. People who didn’t have the APOE ε4 variant and consumed high-fat cheese had a lower risk of developing Alzheimer’s compared to those who did. This interaction was not evident in participants consuming the majority of other Dairy products compared to high-fat cheese.
The baseline data showed that dairy habits may be indicative of overall patterns within the same lifestyle. The individuals in the highest cheese and cream consumption levels also had lower body mass indices, longer educational status, and fewer chronic diseases than individuals with lower cheese and cream intakes.
The authors adjusted for the various baseline lifestyle factors and conducted sensitivity analyses, including removing all participants who reported having early signs of dementia from the study; these checks reaffirmed the association between cheese and reduced risk of dementia by demonstrating that early cognitive decline did not account for the results.
The biggest strengths of this study include the large number of participants, a long follow-up period, a low rate of loss to follow-up, and a rigorous dietary assessment.
“The study findings do not prove that high-fat cheese or cream directly prevent dementia. This was an observational study, so we believe that unmeasured factors could still influence the results. Diet was measured only once at baseline, and people may have changed their eating habits over time. Intake of cream, in particular, was measured with more error than cheese. Baseline cognitive status was not assessed, and some people with dementia who never sought medical care might have been missed,” Sonestedt told The Brighter Side of News.
“Finally, because all participants were from Sweden, our findings may not apply to other populations with different diets and lifestyles,” she continued.
The updated guidelines for the consumption of dairy products released in Sweden in 2023 stated that dairy products should be consumed every day, and preferably fermented types (such as yogurt or kefir).
The study findings support the idea that not all high-fat dairy products are detrimental to brain health. In this particular cohort, both high-fat cheese and cream were associated with decreased risk of dementia when compared to a trend observed with butter. This indicates that the source of fat may be more important than simply the amount of fat consumed.
Research findings are available online in the journal Neurology.
Like these kind of feel good stories? Get The Brighter Side of News’ newsletter.
The post High-fat cheese linked to lower dementia risk in long-term study appeared first on The Brighter Side of News.