A slow turn in a hallway can feel meaningless. Over a decade, it may tell a deeper story about your brain.
A collaborative research team working across five institutions followed 1,051 adults over age 50 for 10 years. The project looked for early movement changes tied to Parkinson’s disease, often called PD. The study took place in Germany, with the ongoing work conducted at the University Hospital Tübingen. Researchers collected data for a full decade and focused on something most people never think about: how you turn while walking.
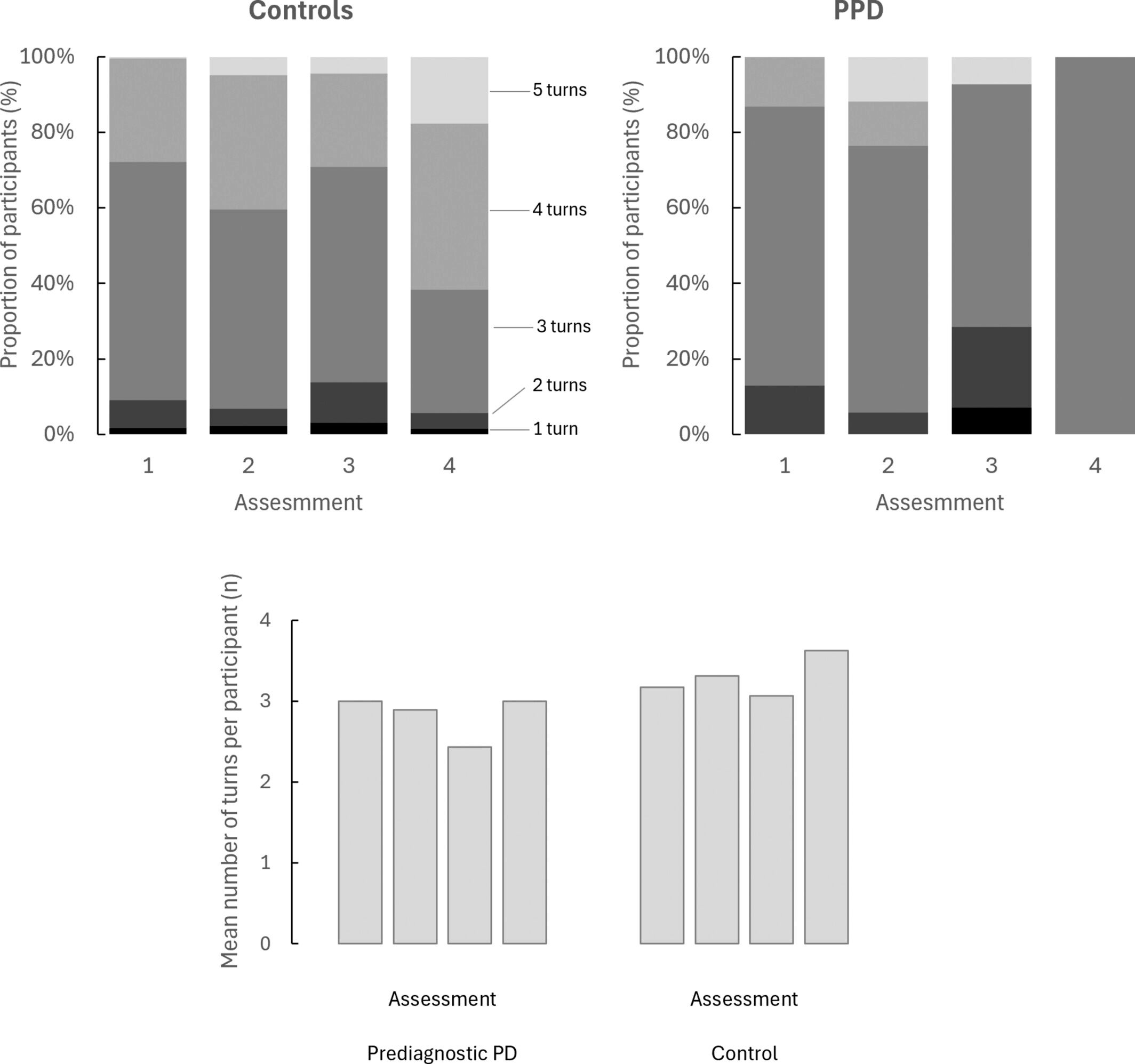
Participants walked down a 20 meter hallway while wearing a single sensor on the lower back. The small device recorded turning angle, turning time and turning speed. Instead of relying on a doctor’s eyes alone, the team used precise motion data captured in the same simple test, repeated over years.

The clearest signal came from peak angular velocity, which describes how fast you turn at your quickest point. The study found that slower peak angular velocity linked to a higher risk of later developing PD.
The sensor system captured turning movements with more detail than a typical clinic visit. That mattered because early PD changes can look quiet and uneven. You may still walk fine. You may still feel normal. Yet the fine control needed for a smooth, quick turn can begin to slip.
The researchers saw that turning speed did not drop only near diagnosis. Based on their results, estimated turning speeds began declining about 8.8 years before a clinical diagnosis of PD. That timing places turning speed among the earliest measurable motor signs found in this long follow-up.
This is not about a dramatic stumble. It is about a small slowdown that repeats, year after year. It is the kind of change you might blame on age or stiffness. The sensor does not guess. It records.
The strength of this work comes from its timeline. The researchers did not take a single snapshot. They watched participants over a decade. That long view helped them estimate when the turning decline began.
The study tracked turning angle, duration and speed, yet peak angular velocity stood out. It is a sharp measure of turning performance. It focuses on the fastest moment in the turn, not the average pace.

Over time, participants who later developed PD showed slower peak angular velocity compared with those who did not. The decline appeared years before diagnosis, well before many people would seek care for movement issues.
To test whether the turning signal could help identify future PD cases, the researchers built a machine learning model. It used three inputs: age, sex and peak angular velocity.
The model aimed to predict which participants would later develop PD. It achieved an area under the curve, or AUC, of 80.5%. That score suggests strong predictive accuracy for this type of early risk estimate.
The machine learning step matters because it checks whether the signal has practical value, not just statistical interest. It also hints at a future where simple wearable measures support earlier screening, especially when combined with other early signs.
“This research opens a vital window for early intervention,” Associate Professor Brook Galna from Murdoch University’s School of Allied Health told The Brighter Side of News.
“By detecting changes in turning speed through wearable sensors, in combination with other early signs of Parkinson’s, we can identify individuals at risk long before symptoms become clinically apparent,” he continued.
Earlier risk detection can reshape how PD research moves. Today, many treatments are studied after diagnosis, when symptoms are clear. But the brain changes that lead to PD can begin much earlier. A marker that appears close to nine years before diagnosis could help shift studies into that earlier window.

“Earlier detection of people at risk of developing Parkinson’s will speed the discovery and testing of neuroprotective treatments designed to slow disease progression and keep people living independently for longer,” Galna said.
That promise is personal. Staying independent often depends on timing. If doctors can spot risk earlier, researchers can test therapies earlier. If therapies work, people may keep daily routines longer.
The study does not claim turning speed alone can diagnose PD. It points to turning speed as an early warning sign that could join other signals. The sensor captures one part of the story, but it may open a door.
This research suggests a low-burden way to detect early movement changes linked to PD. A single lower-back sensor and a short hallway walk could help flag risk years before diagnosis. If validated further, this may support earlier monitoring for older adults, especially those with other risk signals.
For researchers, the long lead time, about 8.8 years, offers a larger window to study early disease changes. It could speed recruitment for studies that test neuroprotective treatments earlier, when slowing progression may be more achievable.
For patients and families, earlier identification could mean earlier support planning and closer follow-up. It could also guide future care models where wearable data helps track subtle changes over time, not only during clinic visits.
Research findings are available online in the journal Annals of Neurology.
Like these kind of feel good stories? Get The Brighter Side of News’ newsletter.
The post How you turn while walking could signal Parkinson’s risk nearly 9 years in advance appeared first on The Brighter Side of News.
Leave a comment
You must be logged in to post a comment.