A pair of identical particles swapping places sounds like a small move. In quantum physics, it is a defining one.
In everyday three-dimensional space, that swap only comes in two flavors. Either the system looks exactly the same after the exchange, or it flips sign in a way that forces the particles to avoid sharing a state. Those two outcomes sit at the heart of the boson and fermion divide that organizes the Standard Model.
Lower the number of dimensions, and that clean split starts to fray. Physicists have predicted since the 1970s that a middle ground should exist: anyons, particles that are neither bosons nor fermions. In 2020, experiments observed anyons at the interface of supercooled, strongly magnetized, one-atom-thick semiconductors, a two-dimensional setting. Now two joint papers in Physical Review A describe a one-dimensional system where anyons can exist, and spell out what their behavior should look like.
The work comes from researchers at the Okinawa Institute of Science and Technology (OIST) and the University of Oklahoma. Professor Thomas Busch of OIST’s Quantum Systems Unit called the result a doorway into deeper questions about what quantum particles can be.

The familiar boson-or-fermion rule traces back to indistinguishability. In classical life, you can label two marbles and keep track of them. In quantum physics, two truly identical particles cannot carry hidden labels. If they share the same quantum properties, nature offers no way to tell them apart.
That has a sharp consequence. If exchanging two identical particles produces a situation you cannot distinguish from the original, then measurable physics cannot change. Raúl Hidalgo-Sacoto, a PhD student in the OIST unit, explains it in terms of an “exchange factor” that summarizes what the wave function does under a swap. In three dimensions, the rule that applying the exchange twice returns you to the starting point forces that factor into only two possibilities: +1 or -1. The first corresponds to bosons, the second to fermions.
That mathematical choice shows up everywhere. Bosons pile together, which underlies phenomena like lasers and Bose-Einstein condensates. Fermions refuse to share the same state, which helps build the structure behind electrons in atoms and the periodic table.
So why does the story change when you cut down dimensions? In lower dimensions, particles have fewer ways to slide around each other. Their paths through space and time can tangle. In that setting, the act of exchanging particles no longer matches the idea of “doing nothing,” even if you end with the same particles in the same places.
You then need a wider menu of exchange factors to respect indistinguishability. Anyons fill that gap. They carry exchange behavior that can vary continuously between the boson and fermion limits.
Two-dimensional anyons often get explained through braiding, where paths loop around and cannot be untied. One dimension looks even more restrictive. Particles in a line cannot pass by each other without crossing the same point.

That constraint becomes the key feature in the new papers. In one dimension, exchanging positions means the particles must pass through one another. The researchers report that this makes exchange statistics intimately tied to short-range interactions, rather than being an abstract topological story alone.
In their framework, the “amount” of anyon character can be described by a statistical parameter, written as α, that ranges from 0 to 1. At one end, α = 0 lines up with the familiar “native” boson or fermion behavior. At the other end, α = 1 flips to the complementary behavior connected through a known mapping between bosons and fermions in one dimension.
The papers also separate “bosonic anyons” from “fermionic anyons.” The words sound contradictory at first. Here they label two related families of anyonic states that carry different overall exchange signs, even though both also pick up an α-dependent phase.
This work also distinguishes its one-dimensional anyons from other proposed one-dimensional objects, including “traid” anyons, and from the more widely discussed two-dimensional braid anyons. The difference matters because it shapes which experiments could test which theory.
The authors build their one-dimensional anyon wave functions by starting with ordinary boson or fermion wave functions and “dressing” them with an α-dependent gauge phase. They tie this to a composite-particle picture used in other areas of theory, and connect it to the well-known Bose-Fermi mapping that links certain one-dimensional boson and fermion problems when their interaction lengths match.
In the Hamiltonian they identify, particles interact through two kinds of zero-range interactions, associated with even- and odd-parity behavior. The work highlights a key condition: the relevant one-dimensional scattering lengths must be equal, and the authors label that shared value as an anyonic scattering length.

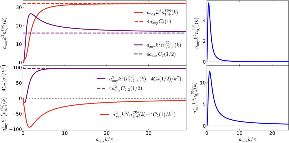
A central point is what you could measure. The papers focus on momentum distributions, which are sensitive to the off-diagonal structure of a quantum state. Even when bosonic and fermionic wave functions connect through mappings, their momentum distributions can still look different.
The authors report that bosonic anyons and fermionic anyons have distinct momentum distributions. Their analysis predicts an asymmetric momentum distribution around zero momentum for anyons, tied to how the wave function mixes symmetric and antisymmetric parts. They also derive a subleading term in the high-momentum tail that scales like k⁻³, present only for intermediate α values and a finite scattering length. They attribute that term to interference between two-body contributions and between two- and three-body contributions.
Notably, a three-body contribution appears in the momentum tail even though the model Hamiltonian uses only two-body interactions. The authors frame that as a striking consequence of the gauge-phase dressing, which can introduce higher-order correlations.
They validate their momentum-tail expressions with explicit calculations for systems of two and three identical anyons in free space.
The papers position ultracold atom platforms as a realistic place to look for these effects. In one-dimensional cold-atom systems, experiments already tune interactions from weak to strong by adjusting confinement or using Feshbach resonances. That control makes the proposed link between exchange statistics and interaction strength especially relevant.
The work also sets a clear boundary on what it does not do. Its framework treats one-dimensional anyons as elementary particles to explore their basic properties, while noting that real experimental versions would be quasiparticles. The papers do not give a full recipe for engineering quasiparticles that follow the exact model Hamiltonian, and they describe that task as outside their scope.
Even so, the punchline remains practical: if experiments can build the right one-dimensional conditions, momentum distributions offer a concrete way to see whether tunable anyonic exchange statistics show up as predicted.
Research findings are available online in the journal Physical Review A.
The original story “New research discovers quantum particles that exist in one dimension” is published in The Brighter Side of News.
Like these kind of feel good stories? Get The Brighter Side of News’ newsletter.
The post New research discovers quantum particles that exist in one dimension appeared first on The Brighter Side of News.