A wafer-thin layer of rust, formed naturally in air, helped researchers spot a behavior many physicists have chased for decades.
That oxide, hematite (α-Fe2O3), appeared on the top layer of a stacked film device and “pinned” a magnetic layer in place. With that pinning, the team could flip the device between two magnetic states and watch what happened to superconductivity. What they saw was small in size but big in meaning: the transition temperature shifted the “wrong” way for an ordinary superconductor.
Professor Jacob Linder at the Norwegian University of Science and Technology (NTNU), working at the QuSpin research centre, says the results point toward a long-sought state called triplet superconductivity. “We think we may have observed a triplet superconductor,” he said.
The work, done with experimental collaborators in Italy, was published in Physical Review Letters and selected as an editor’s recommendation.

Superconductors carry electrical current with no measurable resistance. Most well-known superconductors are “singlet” superconductors, meaning the paired electrons that carry the current have opposite spins.
A triplet superconductor, in contrast, involves equal-spin pairing. That difference matters for technologies that want to use electron spin itself, not just charge. “The fact that triplet superconductors have spin has an important consequence. We can now transport not only electrical currents but also spin currents with absolutely zero resistance,” Linder said.
That promise sits behind the excitement around superconducting spintronics and parts of quantum technology, where stability and error control remain stubborn problems. “One of the major challenges in quantum technology today is finding a way to perform computer operations with sufficient accuracy,” Linder said.
For years, physicists have hunted for intrinsic triplet superconductors in materials such as UGe2, URhGe, and Sr2RuO4. Yet the Physical Review Letters paper notes that “direct and conclusive evidence for intrinsic spin-triplet pairing still has to be found.”
The new work focuses on Nb0.18Re0.82, often shortened to NbRe, a noncentrosymmetric superconductor whose crystal structure lacks inversion symmetry. That structural feature can produce antisymmetric spin-orbit coupling. When strong enough, this allows a mixture of singlet and triplet components in the superconducting order parameter.
NbRe is also relatively simple as materials go, at least compared with many strongly correlated “candidate” triplet systems. The paper reports a bulk critical temperature of about 9 kelvin. It also emphasizes that NbRe can be deposited as a thin film, which is crucial for devices.

Earlier experiments had already hinted that NbRe might be unconventional. The paper summarizes prior reports of two superconducting gaps from point-contact spectroscopy and specific heat measurements, and time-reversal symmetry breaking from muon-spin rotation and relaxation studies. Other transport and magnetoresistance studies also suggested possible singlet-triplet admixture. Even so, the authors stress that a conclusive demonstration of triplet pairing in NbRe remained out of reach.
Linder, in the NTNU write-up, also flags temperature as a practical point. He calls NbRe “relatively high” in temperature terms, citing about 7 K as more reachable than candidates that require around 1 K.
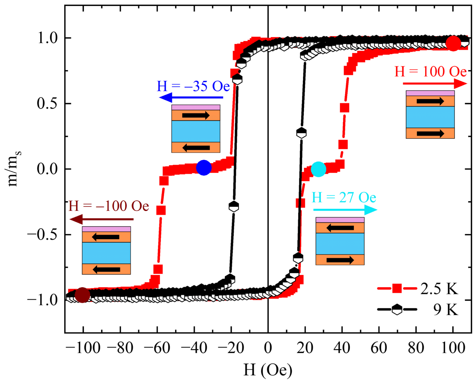
To probe the pairing, the team built superconducting spin-valve devices. In their design, a superconductor layer sits between two ferromagnets whose magnetizations can be set parallel or antiparallel.
For ordinary singlet pairing, the antiparallel alignment usually reduces pair breaking and raises the critical temperature, compared with the parallel state. The triplet scenario can invert that expectation. Equal-spin triplet pairs align with local magnetization, and the antiparallel configuration can increase leakage into the ferromagnets. This pushes the critical temperature down.
The main device stacked permalloy (Ni0.80Fe0.20, called Py) on both sides of a 20-nanometer NbRe film, with each Py layer 12 nanometers thick. After deposition, the top Py naturally oxidized, forming the hematite layer that pinned the magnetization and helped produce a clean antiparallel state. A key point in the paper is simplicity. No engineered spin-mixing layer was added.
The team also built a control device using a conventional singlet superconductor, niobium. That control stack used a 25-nanometer Nb film in the same basic Py/Nb/Py/α-Fe2O3 architecture.

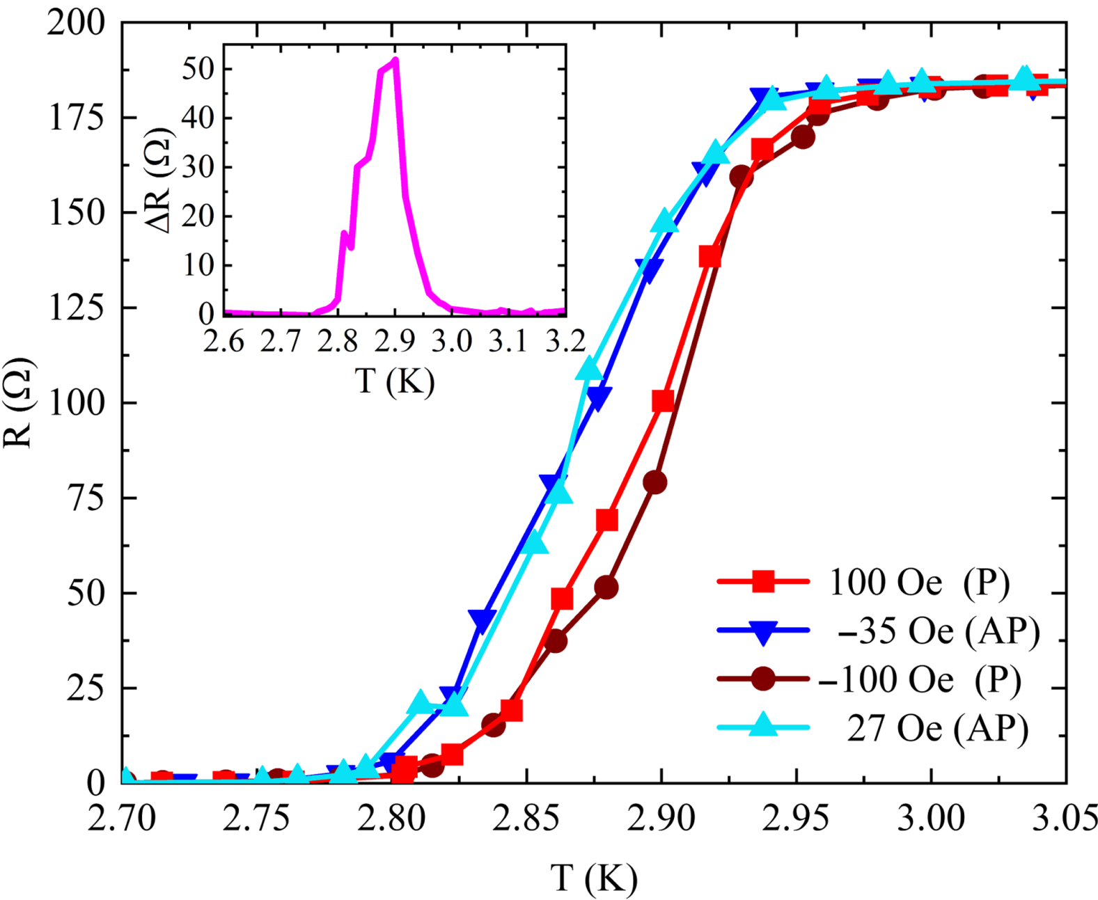
In transport measurements, the NbRe device showed an inverse spin-valve effect: the critical temperature was lower in the antiparallel state than in the parallel state.
Using a 50% resistance criterion through the transition, the paper reports average critical temperatures of 2.90 K for the parallel alignment and 2.87 K for the antiparallel alignment. That is a difference of about 30 millikelvin. Near 2.90 K, the resistance difference between the averaged antiparallel and parallel transitions exceeded 50 ohms.
The switching did not require huge magnetic fields. The paper reports full switching between magnetic configurations with in-plane fields of only a few tens of oersteds. This is a range the authors call suitable for cryogenic applications.
The control device behaved the conventional way. In the Nb-based spin valve, the antiparallel configuration produced a larger critical temperature. The reported ΔTc was about −20 millikelvin, consistent with standard singlet proximity behavior.
The authors also discuss one alternative explanation, inverse crossed Andreev reflection, and argue it likely does not dominate here. They point to similar interface transparency in the NbRe/Py and Nb/Py junctions. Furthermore, they note that if that mechanism drove the higher Tc in the parallel state, the same sign should have appeared in the Nb control. It did not.
Taken together, the team says the simplest reading is that intrinsic equal-spin triplet correlations exist in NbRe, tied to its noncentrosymmetric structure.

If NbRe truly hosts intrinsic triplet correlations in thin films, it could make superconducting spintronic devices easier to build. The structures in this work used common metallic layers and a self-formed oxide cap, not elaborate engineered interfaces.
The ability to switch superconducting behavior with small magnetic fields also hints at compact cryogenic “switch” elements that pair naturally with superconducting circuits.
At the same time, Linder cautions against calling the chase over. “It is still too early to conclude once and for all whether the material is a triplet superconductor,” he said. He adds that other experimental groups need to verify the result, along with further tests tailored to triplet superconductivity.
Research findings are available online in the journal Physical Review Letters.
The original story “Researchers may have observed triplet superconductivity – the holy grail in quantum computing” is published in The Brighter Side of News.
Like these kind of feel good stories? Get The Brighter Side of News’ newsletter.
The post Researchers may have observed triplet superconductivity – the holy grail in quantum computing appeared first on The Brighter Side of News.
Leave a comment
You must be logged in to post a comment.