Billions of cigarette butts end up on sidewalks, beaches, and gutters each year. They are small, easy to ignore, and hard to clean up. Over time, they can also leak toxic chemicals into soil and water. A new study suggests this familiar trash could become something far more useful: a high-performance material for fast, durable energy storage.
Scientists from Shenyang Agricultural University report that they can convert discarded cigarette butts into an advanced carbon material that works as a strong electrode for supercapacitors. The study describes a process that turns the filters into nitrogen and oxygen co-doped nanoporous biochar. In lab tests, the material stored large amounts of charge, charged quickly, and stayed stable through thousands of cycles.
“Our work shows that cigarette butts are not just a pollution problem, but also a valuable carbon resource,” said corresponding author Leichang Cao. “By converting them into functional porous carbon materials, we can address waste management while supporting clean energy technologies.”

Cigarette filters, made mainly of cellulose acetate, break down slowly. That slow decay helps explain why they linger in the environment. The scale of the waste makes the issue worse. The researchers note that more than eight million tons of cigarette butts are generated worldwide each year.
“Our team framed the problem in simple terms: this waste is abundant, widely available, and costly to manage. If it could be upgraded into a useful carbon product, it could reduce litter while also supplying raw material for energy devices,” Cao explained to The Brighter Side of News.
“Supercapacitors sit in the space between batteries and traditional capacitors. They do not always store as much energy as a battery, but they can charge and discharge very quickly. They also tolerate repeated use well, often lasting through many charge cycles. These traits make them attractive for portable electronics and renewable energy systems, where fast power delivery and long life matter,” he continued.
To make cigarette butts into an electrode material, the team used a two-step method. First came hydrothermal carbonization, which helps convert the waste into a carbon-rich base. Then they applied chemical activation and controlled heat treatment. That second stage shapes the final structure, including its pores.

The researchers emphasized two design goals. One goal was to introduce nitrogen and oxygen atoms into the carbon structure. The other was to create a layered network of pores, from very small to larger channels. This combination matters for supercapacitors.
Pores provide surface area. In a supercapacitor electrode, surface area is where charge builds up. A larger surface area often supports higher charge storage. Pores also create pathways that let ions move quickly through the electrode during charging and discharging. The nitrogen and oxygen “functional groups” can further improve conductivity and charge storage behavior.
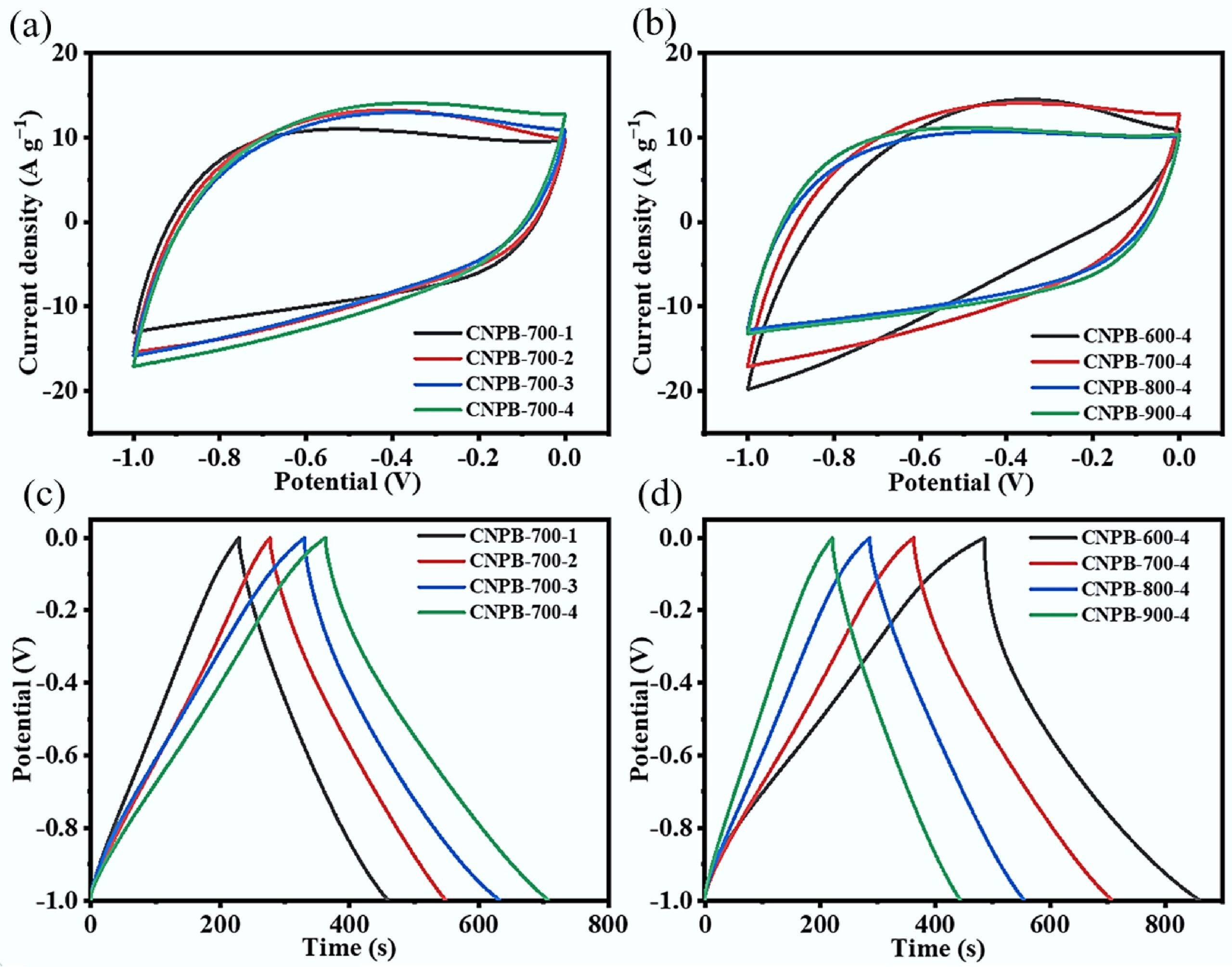
The team produced an optimized version of the material using an activation temperature of 700 degrees Celsius. That sample achieved a surface area of more than 2,100 square meters per gram. That is a striking amount of usable surface packed into a tiny mass.
After producing the optimized biochar, the team tested it as an electrode in aqueous supercapacitors. The material delivered a specific capacitance of nearly 345 farads per gram. Capacitance measures how much electrical charge a material can store under a given voltage.
The researchers also pushed the electrode through long cycling tests. Even after 10,000 charge and discharge cycles at high current density, the electrode retained more than 95 percent of its original capacity. That kind of stability matters for real devices, where an electrode must perform reliably through repeated use.
“These results are remarkable for a carbon material derived entirely from waste,” said co-author Jinglai Zhang. “The combination of rich porosity and nitrogen and oxygen functional groups gives the electrode excellent conductivity, stability, and energy storage capability.”

To test real device potential, the team assembled a full symmetric supercapacitor, using cigarette butt-derived electrodes on both sides. In that configuration, the device delivered an energy density of over 24 watt-hours per kilogram, while also showing high power density. Energy density reflects how much energy the device can store. Power density reflects how quickly it can deliver that energy. Both matter in applications that need quick bursts of power.
The study points to a clear reason the material performs well. It is not only “carbon.” It is carbon built with a deliberate architecture.
The hierarchical pore structure supports both storage and speed. Small pores offer many charge storage sites. Larger pores and channels help ions reach those sites quickly. That combination supports rapid charging without choking off ion flow.
The nitrogen and oxygen atoms help too. They can change how charge accumulates on the surface, and they can support smoother electron movement through the electrode. Together, the pore network and the chemical “doping” help explain the high capacitance and strong cycling performance.
Beyond performance numbers, the study emphasizes the environmental logic. Cigarette butts are inexpensive and widely available, but they are expensive to manage as litter. Converting them into a valuable energy material could reduce contamination while lowering costs tied to electrode production.

“This study highlights a circular solution where an environmental liability becomes a technological asset,” Cao said. “It opens new possibilities for turning everyday waste into materials that support sustainable energy systems.”
The researchers caution that work remains. They call for further study of large-scale processing and long-term environmental impacts. Still, they present the approach as a proof of concept for how waste-derived biochar materials might support both pollution reduction and clean energy innovation.
The study offers a practical example of “waste-to-value” design that could reshape how communities think about stubborn litter. If future research shows the process can scale safely and economically, cigarette butts could shift from being a cleanup burden to a usable feedstock for energy materials. That could motivate improved collection systems and reduce the environmental damage linked to discarded filters.
For energy research, the work expands the list of low-cost carbon sources for high-performance electrodes. It also highlights a clear recipe for success: combine high surface area, a mix of pore sizes, and helpful chemical groups to improve charge storage and durability. Those ideas could guide other projects that transform everyday waste into functional materials.
For society, the potential benefit is twofold. Reducing cigarette butt pollution can protect waterways and public spaces. At the same time, better, cheaper electrode materials could support energy storage devices that help renewables work more reliably and keep electronics running longer.
Research findings are available online in the journal Energy & Environment Nexus.
Like these kind of feel good stories? Get The Brighter Side of News’ newsletter.
The post Scientists convert cigarette butts into new material for fast, durable energy storage appeared first on The Brighter Side of News.