At the smallest scales of matter, nature behaves in ways that feel almost counterintuitive. Individual particles follow simple rules, but when they interact together, entirely new behaviors can emerge. This collective behavior sits at the heart of condensed matter physics, a field that tries to explain why materials act the way they do.
One of the most puzzling and influential examples of this phenomenon is the Kondo effect, a quantum interaction that has shaped decades of research into magnetism and electronic materials.
A new study now shows that this famous effect does not behave the same way in all cases. Instead, its outcome depends on something surprisingly simple; the size of a particle’s spin. By carefully building and testing a new quantum material, researchers have shown that the Kondo effect can either erase magnetism or help it grow, depending on that single property. The finding reshapes how scientists understand magnetic order at the quantum level and opens new directions for designing future quantum materials.

In everyday life, magnetism feels familiar. A fridge magnet sticks. A compass needle turns. But these simple actions hide a deep quantum origin. Magnetism comes from electron spins, a built-in property that makes particles behave like tiny bar magnets. When spins interact in large numbers, they can organize themselves into ordered patterns or cancel each other out entirely.
In many materials, spins do not act alone. They interact with mobile electrons and with each other at the same time. These interactions can lead to unexpected results, including superconductivity and exotic magnetic states. Among them, the Kondo effect has played a central role in explaining how magnetic impurities behave inside metals.
Traditionally, the Kondo effect describes how a localized spin becomes screened by surrounding electrons. Over time, the magnetic moment fades as the spins bind together into a quiet, non-magnetic state called a singlet. This idea has shaped how scientists think about magnetism in quantum systems for more than half a century.
Real materials are messy. Electrons carry charge, move freely, and occupy different orbitals. All of these behaviors mix together, making it hard to isolate the pure spin interactions behind the Kondo effect. Because of this complexity, scientists have long relied on simplified theoretical models to understand the underlying physics.
One such model is the Kondo necklace, proposed in 1977 by Sebastian Doniach. Instead of focusing on moving electrons, the model keeps only spins and their interactions. This stripped-down system became a powerful idea for studying quantum phase transitions and collective behavior. Yet for nearly fifty years, it remained mostly theoretical.
A major open question lingered. Does the Kondo effect always suppress magnetism, or does its behavior change when the size of the localized spin increases? Answering that question required a real material that could isolate spins and allow precise control over their interactions.

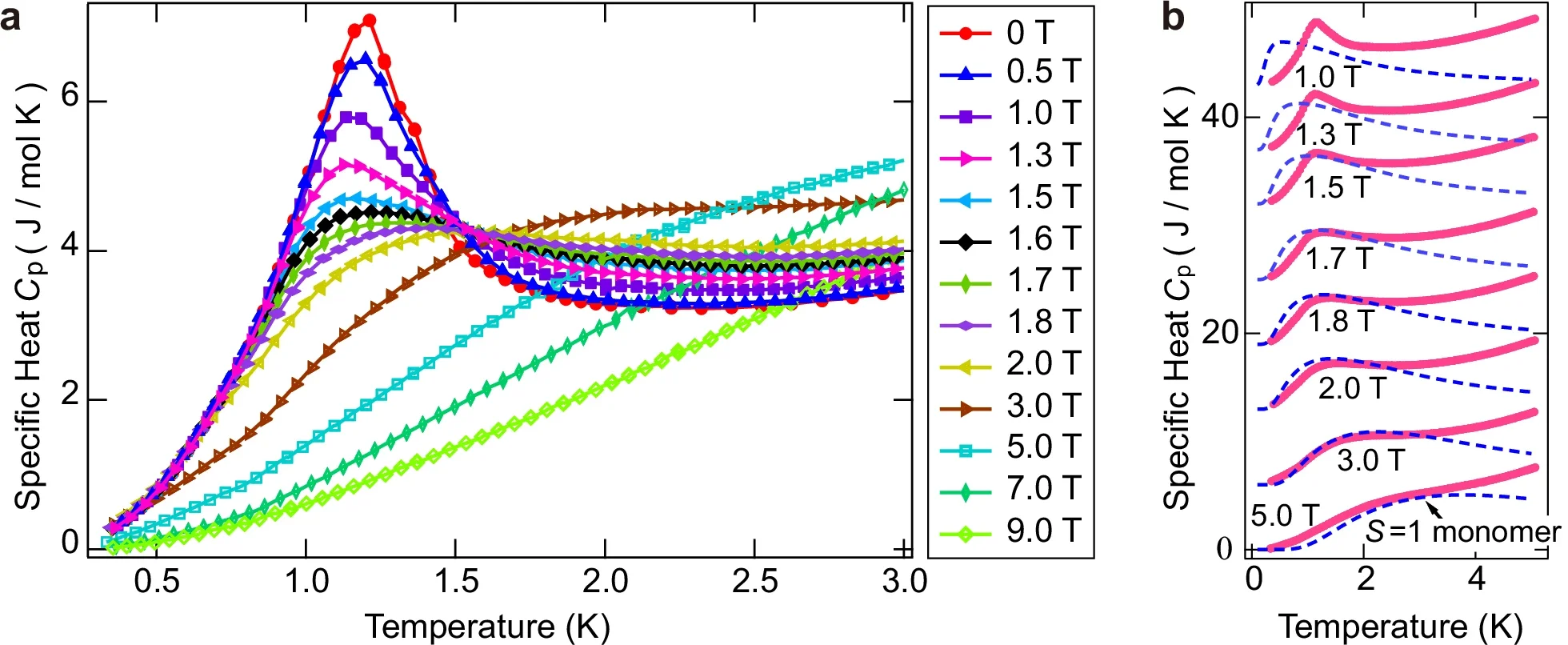
That challenge was finally met by a research team led by Associate Professor Hironori Yamaguchi at the Graduate School of Science at Osaka Metropolitan University. The team created a carefully designed organic-inorganic hybrid material made from organic radicals and nickel ions.
The breakthrough came from a molecular design framework known as RaX-D. This approach allowed the researchers to control how molecules line up inside a crystal and how their spins interact. By using this method, the team built a clean, spin-only system that closely matched the Kondo necklace model.
Earlier work had already realized a version with spin-1/2 units. In the new study, the researchers took the next step and increased the localized spin to spin-1. This small change made a dramatic difference.
Thermodynamic measurements revealed a clear phase transition as temperature dropped. Instead of becoming non-magnetic, the material entered an ordered magnetic state. The spins lined up in a stable alternating pattern known as Néel order.
Further quantum analysis explained why. The Kondo coupling between spin-1/2 and spin-1 units did not cancel magnetism. Instead, it created an effective magnetic interaction between the spin-1 moments. That interaction spread across the material, locking the spins into long-range order.

This result overturns a deeply held assumption. The Kondo effect was long believed to work mainly as a force that suppresses magnetism. The new findings show that when the localized spin is larger than 1/2, the same interaction can actively promote magnetic order.
By comparing spin-1/2 and spin-1 systems side by side, the researchers identified a clear quantum boundary. For spin-1/2, the Kondo effect always forms local singlets. For spin-1 and higher, it stabilizes magnetism.
“This discovery reveals a quantum principle that depends directly on spin size,” Yamaguchi said. “The ability to switch between non-magnetic and magnetic states by controlling spin opens powerful new possibilities.”
This work provides the first direct experimental evidence that the role of the Kondo effect fundamentally changes with spin size. It also highlights the importance of clean, well-controlled systems for uncovering basic quantum rules.
By removing complications like charge motion, the researchers exposed the core physics at play. Their results offer a clearer understanding of how quantum interactions compete and cooperate inside materials.
The study was published and adds a new conceptual foundation to condensed matter physics. It suggests that many existing theories may need revision when applied to systems with larger spins.

Understanding how to control magnetism at the quantum level has real-world value. Magnetic order affects noise, stability, and coherence in quantum devices. Being able to design materials that switch between magnetic and non-magnetic states could improve quantum sensors, memory systems, and computing hardware.
The findings also offer guidance for engineers working on spin-based technologies. By selecting materials with specific spin sizes, researchers can tailor quantum behavior instead of fighting it.
More broadly, the work opens new paths for discovering quantum phases that were once thought impossible. As scientists explore materials with higher spins, they may uncover states of matter that reshape future technologies.
Research findings are available online in the journal Nature.
The original story “Scientists reveal how quantum electron spin can create magnetism” is published in The Brighter Side of News.
Like these kind of feel good stories? Get The Brighter Side of News’ newsletter.
The post Scientists reveal how quantum electron spin can create magnetism appeared first on The Brighter Side of News.