Chronic sleep deprivation is a growing public health issue that continues to have devastating effects on individuals’ lives. Millions of people do not achieve the recommended amount of sleep of at least seven to nine hours each night.
The effects of inadequate sleep can be seen in multiple aspects of everyday life; with insufficient quality of sleep, cognitive function declines, emotions fluctuate more frequently, and physical health is negatively affected. National survey data indicates that nearly 40 per cent of the adult population reports experiencing some form of disrupted sleep or significant daytime sleepiness; therefore, it is likely that not getting enough sleep is now a common occurrence rather than being rare.
Insufficient amounts of sleep can have serious consequences, particularly related to the body’s physiological response to stress. Insufficient amounts of sleep increase one’s risk for developing anxiety, depression, cardiovascular disease and hypertension. In addition, hormonal changes associated with lack of sleep may play a role in obesity and/or developing type 2 diabetes.

A person’s likelihood of dying before reaching old age increases substantially with both limited and excessive amounts of sleep; individuals who sleep for less than five hours per night or greater than ten hours per night have approximately a 15% greater chance of dying than someone who sleeps between seven and eight hours each night.
Finally, the economic impact of sleep disturbances on employers is significant; it has been estimated that businesses lose between $150 billion and $300 billion annually due to worker fatigue. Insomnia alone accounts for more than $13.9 billion in direct health care costs annually.
There is an increasing interest in the relationship between sleep and the development of type 2 diabetes. Not getting enough sleep will reduce the body’s insulin sensitivity, which will make it more difficult for the body to maintain regulated blood sugar levels.
Past studies have shown that those who get less than 5 hours of sleep have more than three times the chance of developing type 2 diabetes than those who get 7 to 8 hours of sleep. Diabetes also deteriorates sleep quality, creating a vicious cycle that is difficult to escape from.
In order to clarify how these elements interact, Raedeh Basiri, a registered dietitian and clinical nutrition researcher at George Mason’s College of Public Health utilized the National Health and Nutrition Examination Survey (NHANES) database.
NHANES is a series of longitudinal surveys that measures health, laboratory, and diet information from a nationally representative sample of U.S. adults every two years. From 2007 – 2020, over 66,000 adults participated in NHANES. After excluding individuals with incomplete data, the final sample size was 39,794 individuals, approximately 38% of whom exhibited prediabetes or diabetes as indicated by blood tests or previous diagnoses.

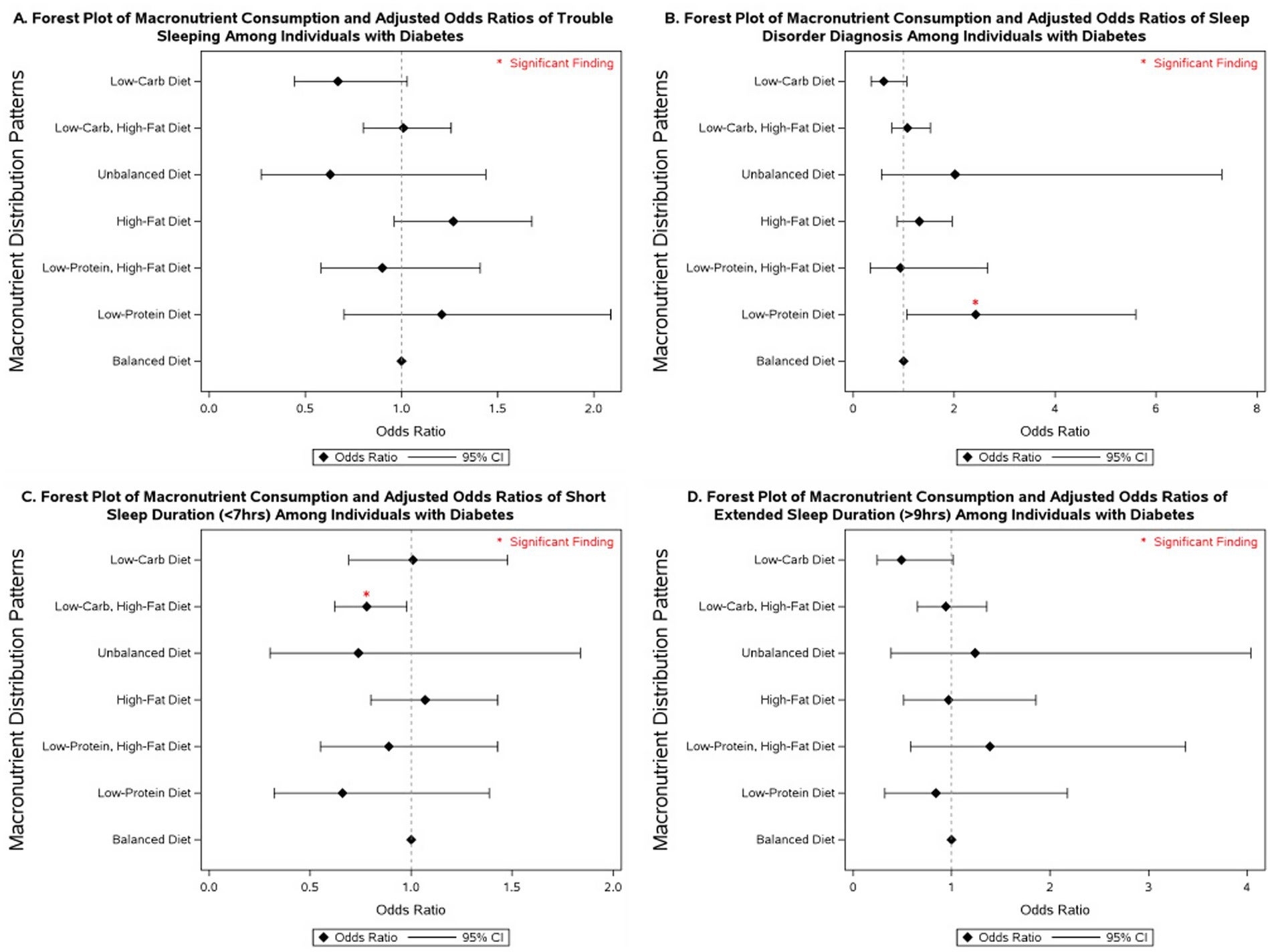
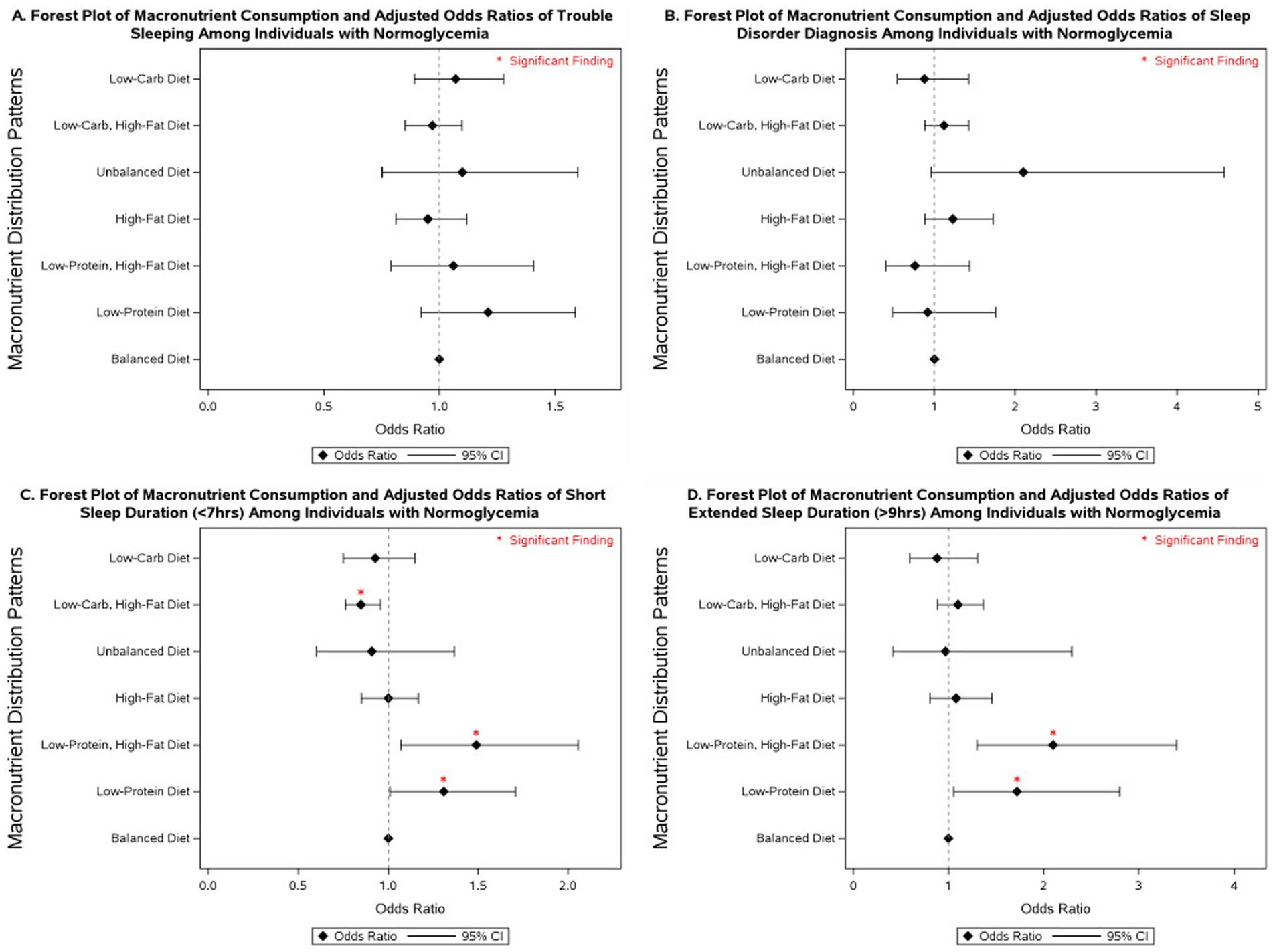
Basiri and his team of researchers measured sleep quality using participant responses about having trouble sleeping and past diagnoses by health care professionals regarding a sleep disorder. Participants reported how many hours of sleep they typically received on weekdays. They studied dietary data to assess three macro-level patterns (e.g., carbohydrate, protein, fat) and categorized individuals as following one of these patterns: balanced, low-protein, low-carbohydrate, high-fat, or a mixed combination.
When comparing dietary patterns to blood sugar status, there was a clear difference. Individuals diagnosed with diabetes reported that they had the largest number of difficulties sleeping. Over a third of these individuals reported difficulties in sleeping, while almost 10% of them had a previous diagnosis of a sleep disorder. Approximately 31% of the prediabetics reported some form of difficulty in sleeping. Compared to the general population, individuals with diabetes tend to experience a greater incidence of sleep disturbances.
Individuals with diabetes typically report a significantly lower level of sleep than healthy individuals. An examination of the data indicated that approximately 34% of people with diabetes have reported sleeping less than seven hours per night. Lacking enough sleep is a significant issue for individuals with diabetes.
For individuals who have normal blood sugar (glucose) levels, the rate of sleeping fewer than seven hours per day drops to 31%. This percentage of experience with short sleep duration is also slightly lower at just under 30% for individuals with normal glucose levels.
Individuals with diabetes reported sleeping an average of over 9 hours on approximately 10% of days in the previous month, as compared to their non-diabetic counterparts.

The researchers utilized HbA1c levels to assess the relationship between glucose control (average blood sugar) and sleep quality in diabetic individuals. It was discovered that the group of diabetic individuals with the lowest HbA1c levels had significantly poorer sleep than the group of diabetic individuals whose HbA1c ranged from 6.5% to 9%.
They suggested a number of factors that might explain this phenomenon. First, individuals who maintain more strict blood sugar control often experience increased stress and changes in mood as a function of the complexities of their treatment plan, which subsequently leads to an increased risk of hypoglycemia during the night. In addition, the long-term use of Metformin has the potential to lower vitamin B12 levels, thus impacting an individual’s sleep quality.
The team could not directly examine these relationships, but they did find that tighter glycemic control does not always lead to better sleep for all patients with diabetes.
In addition, the researchers discovered another aspect of the relationship between diet pattern and sleep by examining the types of foods that diabetic individuals consume. A low-protein diet was consistently associated with poor sleeping quality in all blood sugar types.
In people living with diabetes, it increased the odds of having a diagnosed sleep disorder by over double if there was not enough protein in the diet. Prediabetes showed a similar pattern with low protein, indicating high levels of prolonged sleeping. Healthy blood sugars indicated an increased risk for sleeping less or too much when the amount of protein was lower than what is recommended.
When a low-protein diet is combined with a high-fat diet, negative outcomes were seen for some groups within the study. It should be noted that people living with prediabetes, who followed these diet patterns, had nearly triple the risk for sleeping longer than 9 hours. Healthy blood sugar individuals who fell into this pattern were at an increased risk for sleeping either too little or too much.
There were also patterns that indicated no harm. Individuals with low-carbohydrate high-fat diets were at a lower risk of sleeping less for both those with diabetes and healthy blood sugar. Almost one-half of the diabetic participants were in this diet category, making it the most common diet pattern among participants living with diabetes.
Since the analysis relied on cross-sectional data, this precluded the research team from determining if sleep patterns caused the change in either dietary habits or blood sugar levels or if dietary habits and blood sugar levels caused changes in sleep patterns. Sleep data were based on self-reporting and dietary information was reported by the use of one (1) 24-hour dietary recall.
In addition to not being reported in this study, other significant confounding factors included medication, depression and anxiety, which all have a significant influence on sleep and metabolic health.
In summary, this research used 14 years of national survey data and is one of the first studies to evaluate diet, sleep and glucose status together, as a function of the classifications of macronutrient intakes.
Results of this research indicate a strong relationship between diet quality, sleep quality and blood sugar levels. It is suggested that healthcare providers responsible for managing both diabetes and prediabetes will soon be providing not only medication and glucose management, but also assistance with daily sleeping and protein intake habits.
Future studies may also determine whether a change in protein intake or macronutrient balance is related to improved sleep and improved blood glucose management. Improved sleep could help reduce disease risk and improve the quality of life for millions of individuals.
Research findings are available online in the journal Frontiers in Nutrition.
Like these kind of feel good stories? Get The Brighter Side of News’ newsletter.
The post Sleep, diet, and blood sugar: Study finds new link between sleep and metabolic health appeared first on The Brighter Side of News.
Leave a comment
You must be logged in to post a comment.