Tardigrades have a reputation for being nearly indestructible. These microscopic animals, often nicknamed water bears, can dry out and slip into a dormant state. This state helps them survive the vacuum of space, deep-sea pressures, and punishing cold. That track record makes them tempting stand-ins for a bigger question that hangs over future Mars missions. What happens when Earth life meets Martian soil?
In a new set of experiments using Mars regolith simulants, researchers found that some “Mars dirt” was harsh enough to shut down active tardigrades within days. One simulant proved especially damaging. Yet, a simple rinse with water largely removed the problem.
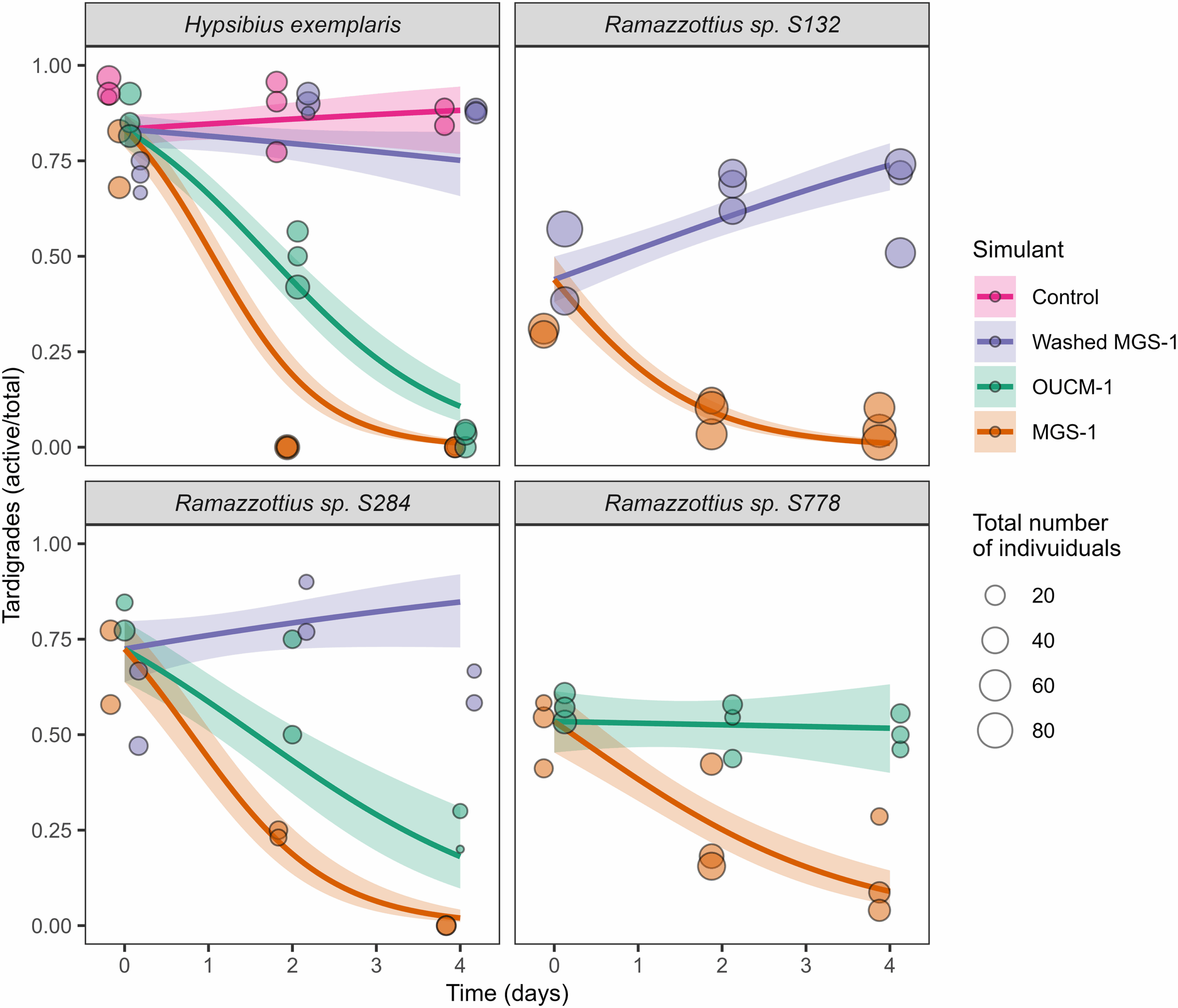
The work, co-led by Corien Bakermans, a microbiology professor at Penn State Altoona, tested the short-term survival of two tardigrade taxa, Ramazzottius cf. varieornatus and Hypsibius exemplaris. The animals were exposed to two widely used Martian regolith simulants, MGS-1 and OUCM-1. The findings were published in the International Journal of Astrobiology.
Bakermans framed the study in terms of two-way risk. “When considering sending people to non-Earth environments, we need to understand two things: how the environment will impact the people and how the people will impact the environment,” she said.

The second part matters for planetary protection, the effort to avoid contaminating other worlds with Earth organisms and to keep samples and science as clean as possible. NASA and other space agencies follow planetary protection rules. These rules grew out of international agreements.
If Martian regolith contains conditions that naturally kill off Earth stowaways, that could help reduce contamination worries. The catch is obvious. A soil that acts like a defense system might also be a headache, or a danger, for people trying to build a base or grow food.
To mimic the surface material Curiosity sampled at the Rocknest deposit in Gale Crater, the team used two simulants. MGS-1 was designed as a more global stand-in for Martian regolith. OUCM-1 was developed later to better match the Rocknest sampling area. This simulant pays special attention to chemistry as well as mineral makeup.
The researchers placed active tardigrades into small tubes with regolith simulant and tracked how many remained active over time. Movement counted as activity and life, ranging from vigorous crawling or swimming to small twitches of claws. A lack of movement within 10 to 15 seconds meant the animal was counted as inactive and presumed dead.
They also included a terrestrial sand control. Food was not the limiting factor. The researchers added a visibly dense culture of the green alga Auxenochlorella pyrenoidosa to keep supplies plentiful. They reported that it stayed abundant in all treatments.
What happened next depended on which simulant the tardigrades met.
“For the MGS-1 simulant, we saw significant inhibition, reduced activity, within two days,” Bakermans said. OUCM-1 was also inhibitory, but less so. In the paper’s statistical model, time, simulant, and species all came out as significant predictors of activity, with p-values reported as less than 0.0001.
The hit to Hypsibius exemplaris in MGS-1 was blunt. No live individuals of that species were found after two days of exposure to MGS-1. Ramazzottius populations handled the conditions better, and one population, identified as S778, appeared to be the hardiest in the analysis.
There were also odd visual details. In both simulants, tardigrades often ended up coated with mineral particles. This coating gave their bodies a rough appearance compared with the smooth animals in the control. Some inactive animals looked bloated or slightly curled, and a few appeared disrupted or degraded.
None of that proves the mineral coating caused the harm. Still, it offers a physical reminder that these animals were not floating through a friendly environment.
The most surprising result came from what looks like a basic troubleshooting move.
“We were a little surprised by how damaging MGS-1 was,” Bakermans said. “We theorized that there might be something specific in the simulant that could be washed away.”

So the researchers washed MGS-1 four times with water, then dried it and tested it again. In washed MGS-1, the tardigrades stayed vigorous, and the statistical model did not distinguish washed MGS-1 from the control treatment.
“It seems that there’s something very damaging in MGS-1 that can dissolve in water, maybe salts or some other compound,” Bakermans said, adding that the team was investigating further. The paper’s discussion points toward toxicity from specific water-soluble chemicals rather than pH. The pH of the simulant extracts fell in ranges considered acceptable for active tardigrades in prior work referenced by the authors.
The study also connects the harm to solutes measured as total dissolved solids, though it cautions that the animals probably were not dying from salt stress alone. The total dissolved solids in the treatments were below lethal salinity limits reported in other tardigrade studies cited by the authors. That leans the explanation toward the toxicity of particular chemicals that washing can remove.
The water wash is not a magic fix for Mars, for an obvious reason. Water is scarce. Bakermans acknowledged that washing regolith is not a perfect solution in space. Still, the result matters because it shows that whatever made MGS-1 so damaging is not necessarily locked into the mineral grains forever. It can move into water, which means it might be managed, at least in principle.
This experiment tested one piece of Mars life support at a time. The goal was to isolate the impact of regolith simulants alone, without adding the low pressure, radiation, temperature swings, and other stresses that make Mars so inhospitable.
Those other stresses are not minor details. As the paper notes, Mars has a thin atmosphere dominated by carbon dioxide, frequent dust storms, very low average temperatures, strong ultraviolet exposure at the surface, and no global magnetic field to shield against cosmic and ionizing radiation. Regolith itself can include hazardous components such as salts, acids, heavy metals, perchlorates and oxidants.

The authors also describe a practical limitation. A limited number of animals meant they could not test every combination of simulant and tardigrade population. That matters when you are trying to separate chemistry effects from particle-size effects, or when you want clean comparisons across all groups.
Even so, the result still adds something concrete to a field that, as Bakermans put it, knows much more about how simulated regolith affects bacteria and fungi than animals. It also highlights how species-specific these interactions can be, even among tiny animals that share a reputation for toughness.
Bakermans’ co-authors include Matteo Vecchi of the Institute of Systematics and Evolution of Animals at the Polish Academy of Sciences, and Gillian Pearce of the College of Engineering and Physical Sciences at Aston University in the U.K. The research was supported by Penn State Altoona’s Office of Research and Engagement and the POLONEZ BIS programme. This programme is co-funded by the European Commission and the Polish National Science Centre under a Marie Skłodowska-Curie COFUND grant.
If future missions hope to turn Martian regolith into something closer to soil, this study suggests a simple warning: some regolith chemistries may be hostile to active animals, even ones known for resilience. That has two sides.
On one hand, a regolith that knocks down Earth organisms could help planetary protection by reducing the chances that accidental microbial hitchhikers take hold. On the other, the same chemistry could complicate efforts to build functioning ecosystems that support plants. It also raises questions about whether similar soluble components could irritate or harm humans.
The water-wash result gives planners a possible lever. If the most damaging components are water soluble, then processing steps might reduce risk for biology-based systems. The hard part is that processing takes water, energy, and equipment, all of which are precious on Mars. Knowing what needs to be removed, and how much, becomes the next practical question.
Research findings are available online in the International Journal of Astrobiology.
The original story “Tardigrades and water reveal potential for food growth on Mars” is published in The Brighter Side of News.
Like these kind of feel good stories? Get The Brighter Side of News’ newsletter.
The post Tardigrades and water reveal potential for food growth on Mars appeared first on The Brighter Side of News.
Leave a comment
You must be logged in to post a comment.