A wafer-thin flake of bismuth telluride can act a little like a one-way street for electricity, even when the push comes from an alternating signal. But the direction of that “street” is not fixed. Moreover, if you warm the material up, the signal can flip.
That temperature-triggered reversal sits at the center of a new study of the nonlinear Hall effect. This is an unusual quantum response that can turn alternating current into direct current without a magnetic field. The work was led by Professor Dongchen Qi at Queensland University of Technology’s School of Chemistry and Physics and Professor Xiao Renshaw Wang at Nanyang Technological University in Singapore. It traces the effect to a tug-of-war inside the material: tiny imperfections dominate at low temperatures. On the other hand, crystal vibrations take over closer to room temperature.
Unlike a conventional rectifier that relies on diodes and other components, the nonlinear Hall effect can generate a DC output straight from an AC drive. That matters because many ambient energy sources, including wireless signals and other radio-frequency fields, arrive as oscillations.
“The NLHE is a sophisticated quantum phenomenon in condensed matter physics where a voltage is generated perpendicular to an applied alternating current, even in the absence of a magnetic field,” Qi said.

“This effect allows us to convert alternating signals straight into direct current, which is what’s needed to power electronic devices. In principle, it means sensors or chips that could operate without batteries, drawing energy from their environment.”
The team studied Bi₂Te₃, a well-known topological insulator with robust surface conduction. In their devices, the nonlinear Hall signal stayed detectable up to room temperature, reaching 300 K.
Bi₂Te₃ has a layered crystal made of repeating “quintuple layers” stacked along one axis: Te(1)-Bi-Te(2)-Bi-Te(1). While the bulk has rhombohedral symmetry (space group R-3m), the symmetry drops at the surface. On the (111) surface, the point group becomes C3v, with a three-fold rotation axis and mirror planes.
That surface matters. The authors report a “topological surface state” dominated nonlinear Hall effect in mechanically exfoliated Bi₂Te₃. They used an Al₂O₃-assisted exfoliation method and transferred the flake with a poly(bisphenol A carbonate) stamp onto a circular disk electrode. Atomic force microscopy showed a roughly 30-nanometer-thick film.
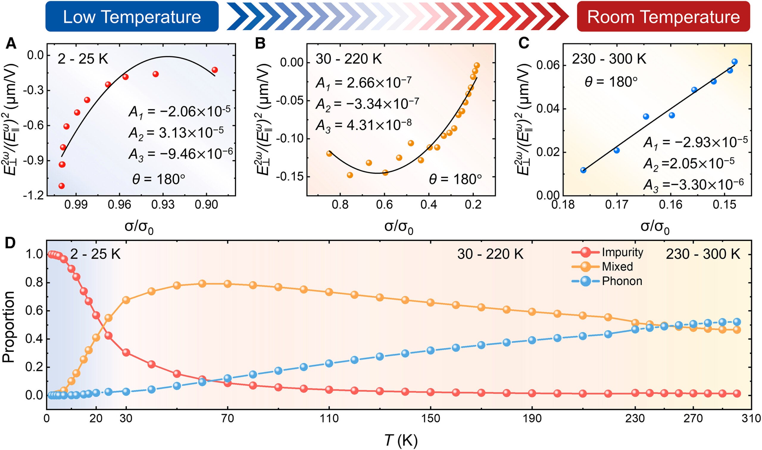
The electrical behavior looked metallic as temperature changed, with a low-temperature saturation in resistivity. The team also tracked carrier mobility and saw three regimes. First, there was a slow decrease from 2 to 25 K. Second, a sharp drop occurred through roughly 25 to 230 K. Third, there was a near-constant trend from about 230 to 300 K.
Those shifts became a clue about what was steering the nonlinear Hall response.

To probe the nonlinear Hall effect, the group applied a low-frequency AC current along different directions across the Bi₂Te₃ device. They measured voltage signals in the perpendicular direction, looking at both the fundamental response (at the same frequency) and the second harmonic (twice the frequency). Across temperatures and current directions, the transverse second-harmonic voltage scaled with the square of the drive current. This is a hallmark of a second-order nonlinear response.
When they rotated the current direction, the normalized nonlinear Hall signal showed a clear three-fold rotational symmetry. That symmetry was not just a geometric detail. Instead, it helped rule out one popular explanation for the nonlinear Hall effect, called the Berry curvature dipole mechanism. This is because the symmetry of Bi₂Te₃ suppresses the dipole pattern.
The authors instead point to scattering-based mechanisms tied to the chirality of electrons on the surface-state Fermi surface. Their calculations describe a hexagonal, “snowflake-like” Fermi surface, shaped by a warping term linked to spin-orbit coupling and the crystal structure. On that warped surface, Berry curvature comes in positive and negative patches. An electron wave packet built from those states can undergo a kind of self-rotation, with the direction set by the sign of the curvature. Furthermore, the study likens this to the Magnus effect.
That self-rotation provides conditions for two scattering-related contributions to the nonlinear Hall effect: skew scattering and side jump. In the paper’s framework, a Berry curvature “triple,” not a dipole, acts as the microscopic source that supports these processes under scattering from disorder.
At low temperature, from 2 to 25 K, impurity-driven skew scattering dominated the nonlinear Hall signal. In an intermediate range, from about 30 to 230 K, phonons became increasingly important and the signal reflected a mixed impurity-and-phonon skew-scattering regime. Above about 230 K, phonon skew scattering took over.

Near 230 K, the nonlinear Hall signal reversed sign.
The team saw the reversal under different wiring and current-direction configurations. They note a slight mismatch in the zero-crossing temperature between two current orientations, and they attribute that to minor electrode misalignment that can add a small longitudinal component. To check that the sign change was not a thermal artifact, they ran a control configuration where the nonlinear Hall response is nearly zero. In that setup, the measured voltage stayed constant with temperature. This supports their claim that the reversal is not driven by simple thermal effects.
Their scaling analysis also suggests the side-jump contribution cannot be ignored in this system, especially given an estimated short scattering time of about 0.15 picoseconds.
Once you know what flips the output, you can think about using it.
The study’s message is that the nonlinear Hall effect in Bi₂Te₃ is not a single, frozen mechanism. It evolves with temperature because different scattering channels take turns steering the electron motion. In the authors’ picture, the sign reversal reflects competition between skew-scattering mechanisms whose contributions change as phonon activity rises.
Qi framed that as the moment when a quantum effect starts looking like a design tool rather than a curiosity.

“That’s when quantum effects stop being abstract and start becoming useful,” he said, “supporting future applications ranging from self-powered sensors and wearable technology to ultra-fast components for next-generation wireless networks.”
If the nonlinear Hall effect can rectify alternating signals without traditional diodes, it could offer a different route to compact AC-to-DC conversion in low-power electronics.
This study also suggests device behavior might be tuned with temperature, since the output can strengthen and even reverse direction around 230 K as phonon scattering overtakes impurity scattering.
That kind of control could be relevant for energy harvesters and detectors that need stable performance up to room temperature.
Research findings are available online in the journal Newton.
The original story “The quantum effect that could power next-gen, battery-free devices” is published in The Brighter Side of News.
Like these kind of feel good stories? Get The Brighter Side of News’ newsletter.
The post The quantum effect that could power next-gen, battery-free devices appeared first on The Brighter Side of News.
Leave a comment
You must be logged in to post a comment.