The study of planets beyond the solar system has reached an unprecedented milestone, with over 5,700 confirmed exoplanets. The discovery rate continues to grow as astronomers employ a variety of detection techniques.
Missions like Kepler, TESS, and Cheops have greatly advanced knowledge of these distant worlds, shedding light on planetary demographics, host star properties, and the diverse nature of planetary systems. However, the challenge of accurately interpreting exoplanet data remains significant, especially due to the variability of their host stars.
Recent research has revealed that stellar activity—variations in a star’s surface temperature and brightness—can significantly distort exoplanet observations. This discovery has major implications for characterizing planetary atmospheres, highlighting the need for refined techniques to differentiate planetary signals from stellar interference.
Over the past two decades, space telescopes like Spitzer and Hubble have enabled the first large-scale investigations of exoplanetary atmospheres. These missions provided valuable spectral data, primarily for hydrogen-rich planets. However, the data often fell short of the scientific community’s ambitions due to limitations in resolution and wavelength coverage.

The James Webb Space Telescope (JWST) has revolutionized exoplanet research by allowing scientists to examine atmospheric compositions with greater sensitivity than ever before. However, JWST’s optical range is somewhat limited, excluding shorter wavelengths where crucial cloud and haze signatures appear.
While upcoming missions such as ESA’s Ariel and BSSL Twinkle promise to address these gaps, current studies rely on combining data from multiple telescopes. This approach, while informative, introduces potential inconsistencies.
To minimize these issues, researchers have focused on a single space telescope: Hubble. By analyzing data from its Space Telescope Imaging Spectrograph (STIS) and Wide Field Camera 3 (WFC3), they have compiled the largest publicly available database of exoplanet transmission spectra.
WFC3 has been instrumental in detecting and refining estimates of atmospheric water vapor, while STIS has provided insights into the scattering properties of particles in exoplanet atmospheres.
Related Stories
Despite advances in data collection, stellar contamination remains a significant challenge. Stars are not uniform in brightness; they have active regions where magnetic activity creates dark spots or bright faculae. These surface variations can distort measurements of exoplanet size, temperature, and atmospheric composition.
If a planet transits across a hotter region of its star, it may appear larger or warmer than it truly is. Conversely, if it crosses a cooler starspot, its radius might be underestimated. In extreme cases, stellar fluctuations can even mimic a planet’s transit, leading to false detections.
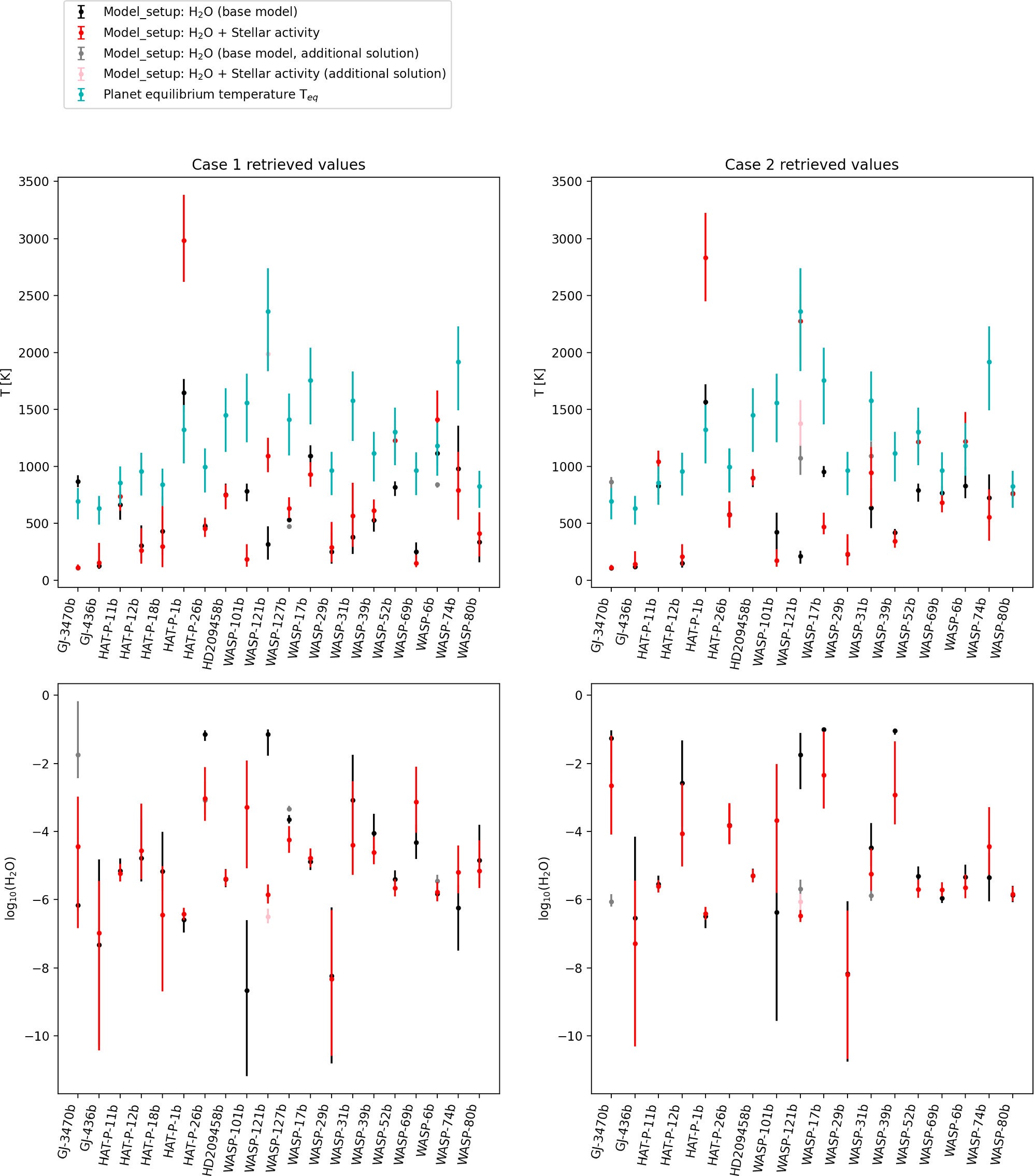
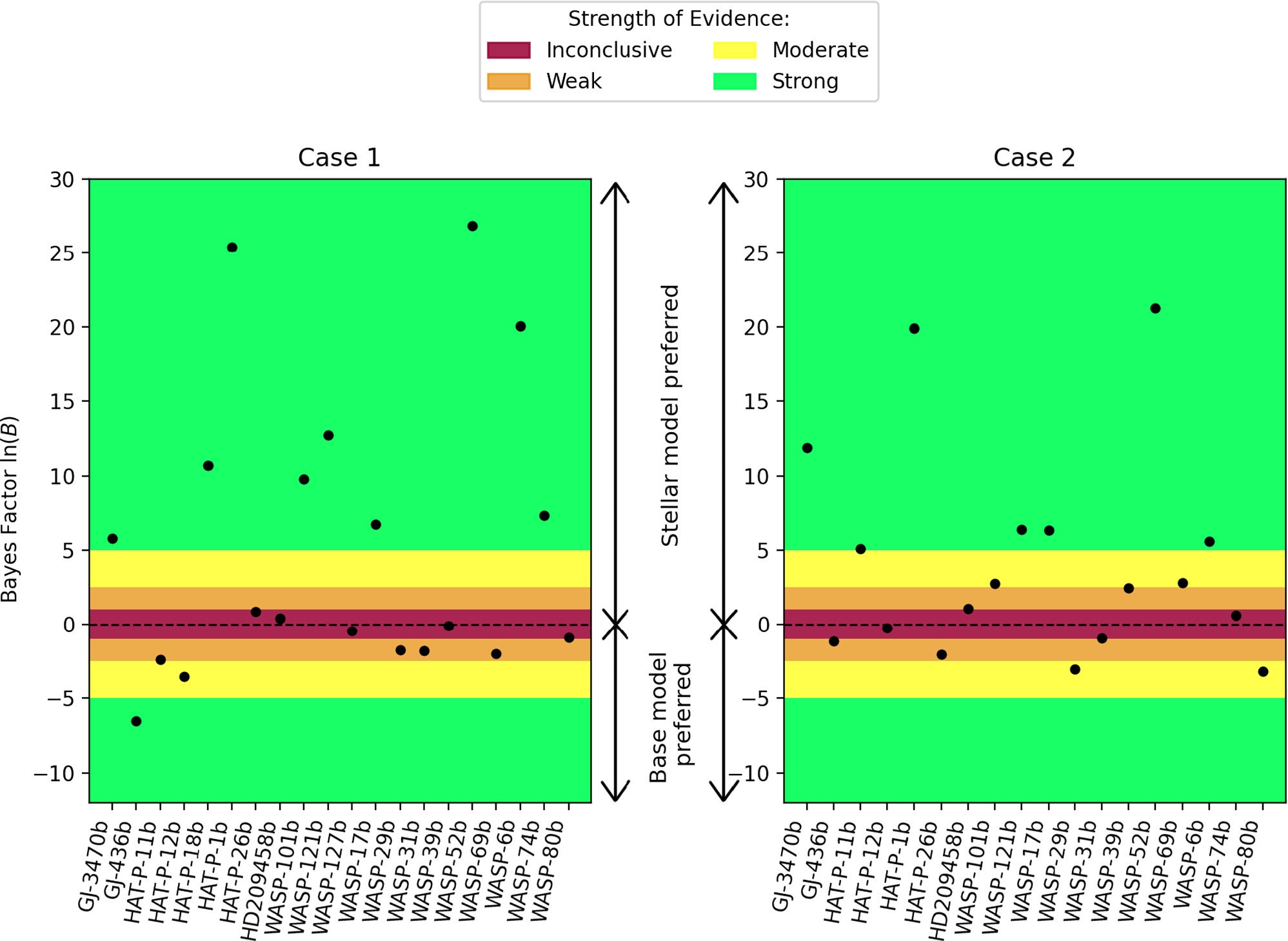
A recent study published in The Astrophysical Journal Supplement Series examined 20 years of Hubble data for 20 exoplanets ranging in size from Neptune to Jupiter. The findings were striking: stellar activity affected nearly half of the planets studied. If these stellar effects were not accounted for, scientists risked misinterpreting atmospheric compositions—such as overestimating or underestimating the presence of water vapor.

Lead author Dr. Arianna Saba, who conducted the study as part of her PhD at University College London (UCL), remarked, “These results were a surprise—we found more stellar contamination of our data than we were expecting. By refining our understanding of how stars’ variability might affect our interpretations of exoplanets, we can improve our models and make smarter use of the much bigger datasets to come from missions including James Webb, Ariel, and Twinkle.”
Second author Alexandra Thompson, also a PhD student at UCL, elaborated on the challenge: “We learn about exoplanets from the light of their host stars, and it is sometimes hard to disentangle what is a signal from the star and what is coming from the planet. Some stars might be described as ‘patchy’—they have a greater proportion of colder, darker regions and hotter, brighter regions on their surface due to stronger magnetic activity.”
The researchers approached the issue by applying a standardized data reduction method to all 20 exoplanets, ensuring consistency across their analyses. They then compared atmospheric models that included stellar variability against those that did not. The results showed that for six of the planets, models accounting for stellar activity provided a significantly better fit to the data. An additional six planets showed minor contamination effects.
To further verify these findings, the team analyzed light across a broad range of wavelengths, particularly in the optical and near-ultraviolet regions, where stellar activity effects are most pronounced. By comparing multiple observations of the same planet at different times, they could identify whether changes in the data were due to planetary features or stellar fluctuations.

Dr. Saba explained, “One way to judge if stellar variability is affecting planetary data is to examine the overall shape of the spectrum. If it cannot be explained by the planet alone, stellar activity is likely a factor. Another method is to compare optical observations taken at different times. If they show significant differences, variable stellar activity is the most probable cause.”
Thompson added, “The risk of misinterpretation is manageable with the right wavelength coverage. Shorter wavelength, optical observations such as those used in this study are particularly helpful, as this is where stellar contamination effects are most apparent.”
The study underscores the importance of accounting for stellar variability in exoplanet research. With upcoming missions poised to deliver vast amounts of new exoplanetary data, refining observational techniques will be crucial for ensuring accurate interpretations. By incorporating stellar activity models and expanding wavelength coverage, scientists can better distinguish planetary characteristics from stellar interference.
As telescope technology advances, researchers will continue to uncover the complexities of distant worlds. Understanding the influence of host stars on exoplanetary observations is a necessary step in the ongoing quest to characterize planets beyond our solar system—and, ultimately, to identify those that may be capable of supporting life.
Note: Materials provided above by The Brighter Side of News. Content may be edited for style and length.
Like these kind of feel good stories? Get The Brighter Side of News’ newsletter.
The post Unstable stars are warping our view of distant planets appeared first on The Brighter Side of News.