Scientists at the University of Virginia School of Medicine are chasing a new way to slow glioblastoma, the deadliest brain cancer. Their work centers on a gene called AVIL and a new drug-like molecule that shuts it down in lab tests and in mice.
The research comes from Hui Li, a professor in UVA’s Department of Pathology and a scientist at the UVA Comprehensive Cancer Center. His team reports the findings in Science Translational Medicine. The group says a small molecule, called Compound A, blocks a protein made by AVIL and slows tumor growth without obvious harmful side effects in mice.
Glioblastoma is a fast-growing cancer that spreads through brain tissue like tangled roots. Doctors can cut out what they can see, but the tumor often threads into healthy brain. Radiation and chemotherapy can help for a while, but not for long.
If you or someone close to you has followed glioblastoma, the numbers are hard to forget. Survival averages about 15 months after diagnosis. Roughly 12,000 to 14,000 Americans are diagnosed each year. Even today’s standard drug, temozolomide, adds only about 2.5 months of survival when paired with radiation.

That reality is why Li’s group went looking for a fresh target. In earlier work in 2020, the lab identified AVIL as an oncogene for glioblastoma. An oncogene is a gene that can drive cancer when it goes into overdrive.
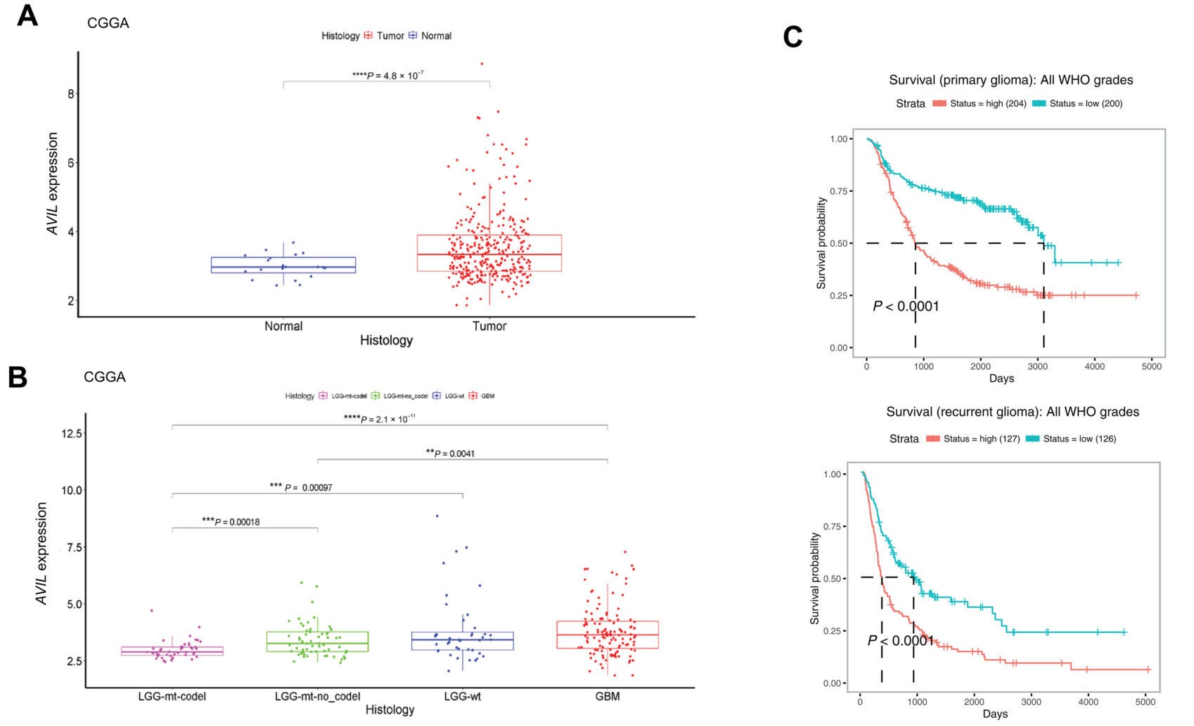
AVIL has a normal job in the body. It helps cells keep their shape and structure. But in glioblastoma, the gene can get pushed into high gear, and tumor cells seem to rely on it to grow and spread.
“Glioblastoma is a devastating disease. Essentially no effective therapy exists,” said Li, of the University of Virginia School of Medicine’s Department of Pathology. “What’s novel here is that we’re targeting a protein that GBM cells uniquely depend on, and we can do it with a small molecule that has clear in vivo activity. To our knowledge, this pathway hasn’t been therapeutically exploited before.”
A big part of the team’s case is that AVIL looks common in tumors and scarce in healthy brain. In patient samples, the protein is abundant in glioblastoma but “hardly found” in noncancer brain tissue, the researchers report.
The study also pulls in large tumor databases to show the same pattern. In the Chinese Glioma Genome Atlas, AVIL levels were higher in tumor tissue than in nearby noncancer margins. High AVIL also tracked with worse outcomes in both primary and recurring gliomas.
The target matters only if blocking it really hurts the tumor. The team tested that by turning AVIL down in glioblastoma cells, then in mouse tumors grown from those cells. When AVIL dropped, tumor growth dropped too. In one mouse experiment, tumors shrank in weight and volume with strong statistics (P < 0.01).
They also asked a safety question early. What happens if a body has no AVIL at all? Using CRISPR, the scientists made a mouse with the gene knocked out. Those mice showed no obvious health problems in basic checks, and they bred normally. That does not prove long-term safety in people, but it hints at a wider safety margin than many cancer targets.

The hardest part of treating brain cancers is not only the tumor. It is the brain’s protective barrier that blocks many drugs. Li’s group wanted something that could reach brain tissue and still hit AVIL.
To find it, the team used high-throughput screening, a fast method for testing huge numbers of compounds. A microarray screen checked about 50,000 small molecules for the ability to bind AVIL. Ninety showed interaction, then follow-up testing narrowed the field.
One compound stood out. Compound A killed multiple glioblastoma cell lines with IC50 values between 10 and 30 micromolar. Meanwhile, an astrocyte cell line, a stand-in for healthy brain support cells, had an IC50 above 120 micromolar. In side-by-side tests, temozolomide performed far worse in the lab dishes, with IC50 values around 500 micromolar to more than 1 millimolar across the cancer lines.
The team ran several checks to show Compound A was not just “generally toxic.” When they removed AVIL from tumor cells, Compound A largely lost its punch. When they forced astrocytes to overproduce AVIL, those cells became much more sensitive to the compound.
Animal tests came next. In mice with tumors grown under the skin, Compound A reduced tumor size and volume (P < 0.001). In brain tumor models, the researchers saw slower tumor growth and longer survival. In one intracranial model, oral dosing at 50 mg/kg daily for 10 days reduced tumor growth signals (P < 0.001) and extended survival (P < 0.001).
The team also tracked where the drug went. After an oral dose of 80 mg/kg, brain tissue showed enriched signal about 30 minutes later. That supports the idea that Compound A can cross into the brain, at least in mice.
Glioblastoma often returns after treatment. Many scientists think a set of stem-like tumor cells helps drive that rebound. The UVA team tested AVIL and Compound A in several of these stem-like glioblastoma cell lines.

Those cells showed higher AVIL than controls. When AVIL was blocked, stem-cell markers dropped and more mature markers rose (P < 0.001). In 3D neurosphere tests, Compound A had an IC50 of about 6 micromolar in glioblastoma stem cells, compared with 55 micromolar in neural stem cell controls.
The compound also showed promise against patient-derived xenografts, tumors grown from real patient samples. In lab tests, many of these models were sensitive to Compound A at around 10 micromolar.
Temozolomide resistance is a major clinical roadblock, so the researchers also tested resistant tumor pairs. In two systems, temozolomide-resistant cells had higher AVIL (P < 0.05). Those resistant cells were more sensitive to Compound A than the original, drug-sensitive versions. In mice, Compound A lowered tumor weight and volume in both temozolomide-sensitive (P < 0.01) and temozolomide-resistant tumors (P < 0.05).
The safety results were encouraging in early checks. Blood counts did not differ between treated and control mice. Tissue exams of major organs, including brain, showed no signs of toxicity. Even at 200 mg/kg daily for a week, body weight did not change.
Li’s team says the work is still early. Compound A works in the micromolar range, which is not ideal for a final human drug. The researchers are developing stronger versions. They also note that AVIL appears in some sensory neurons, so deeper testing will be needed.
“GBM patients desperately need better options. Standard therapy hasn’t fundamentally changed in decades, and survival remains dismal,” he said. “Our goal is to bring an entirely new mechanism of action into the clinic; one that targets a core vulnerability in glioblastoma biology.”
This work points to a new drug target for a cancer that has not seen major treatment shifts in decades. If stronger AVIL-blocking drugs can be built and shown safe, they could offer a new way to slow tumors that resist current care.
Because Compound A appears to reach brain tissue, the approach may also guide how researchers design future brain cancer drugs. It highlights the value of targets that tumor cells depend on, but healthy brain cells do not.
The findings could also help researchers understand why glioblastoma spreads so aggressively. AVIL helps control the cell’s internal scaffolding, which affects movement and growth. Blocking that system may make it harder for tumors to invade brain tissue.
If the approach holds up, it could expand options for patients whose tumors no longer respond to temozolomide. That could matter for both survival and quality of life.
Research findings are available online in the journal Science Translational Medicine.
Like these kind of feel good stories? Get The Brighter Side of News’ newsletter.
The post UVA scientists discover possible new treatment for deadliest brain cancer appeared first on The Brighter Side of News.
Leave a comment
You must be logged in to post a comment.