Dementia is often described as a disease shaped by age and genetics, but daily choices also play a role. New international research suggests that what you eat, and where certain nutrients come from, may quietly shape brain health over decades.
A large study led by Edith Cowan University and the Danish Cancer Research Institute finds that nitrates from vegetables appear linked to lower dementia risk, while nitrates from animal foods, processed meats, and even drinking water are associated with higher risk.
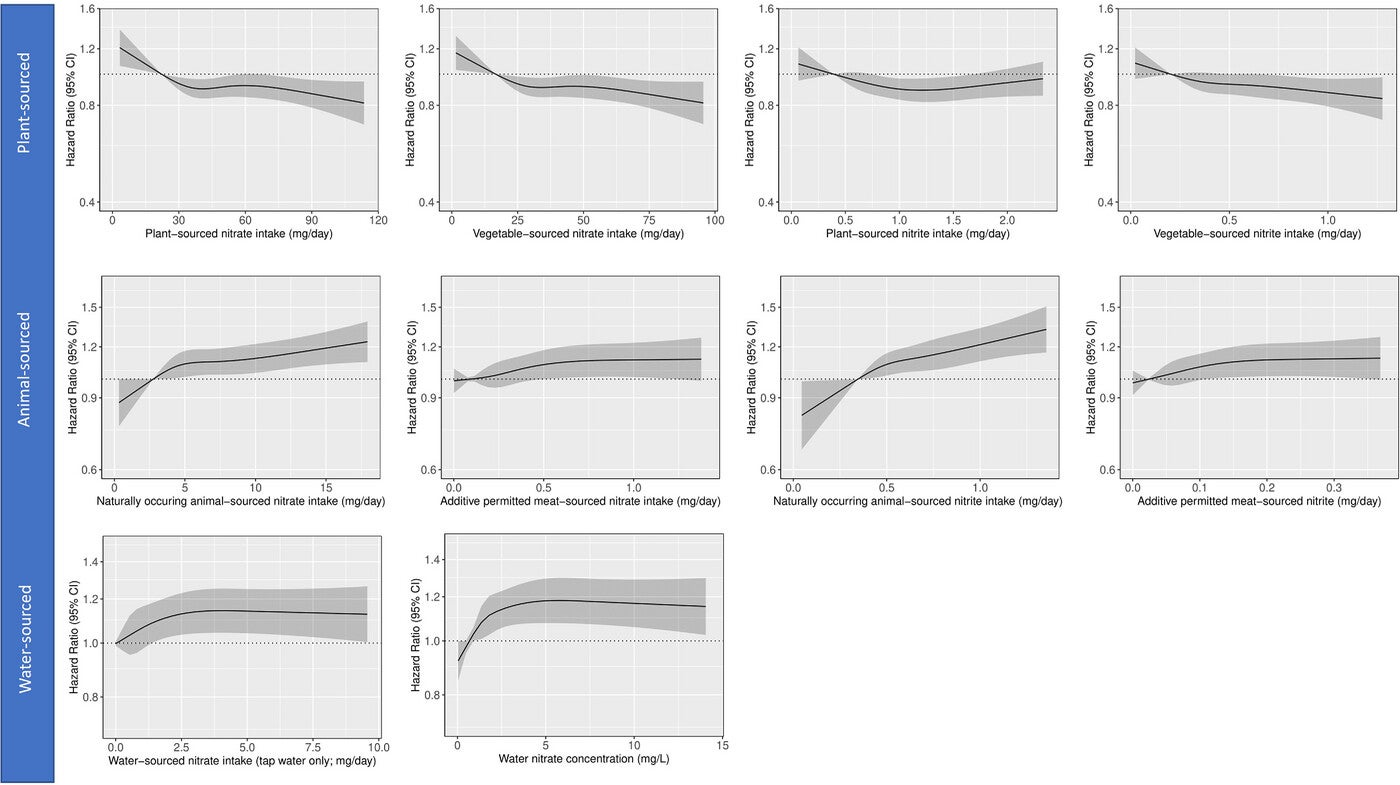
The research followed more than 54,000 adults in Denmark for up to 27 years. During that time, 4,750 participants developed dementia, including 191 cases diagnosed before age 65. By tracking diets, water sources, and health outcomes over nearly three decades, scientists were able to explore how different sources of nitrate and nitrite related to long-term brain health.
Dr Nicola Bondonno, a postdoctoral research fellow at Edith Cowan University’s Nutrition and Health Innovation Research Institute, says dementia develops from many influences. “Dementia is a complex disease shaped by both genetics and lifestyle,” she said. “Dietary factors could also be important.”

Nitrate and nitrite are compounds found naturally in many foods and in water. Leafy greens like spinach and lettuce are well-known sources. Nitrates are also present in animal foods, especially red and processed meats, and can enter drinking water through fertilizer runoff and soil.
Inside the body, nitrate can convert into nitric oxide, a compound that helps blood vessels relax and supports blood flow to the brain. That process may protect brain cells. But nitrate can also form N-nitrosamines under certain conditions. These chemicals have been linked to cellular damage and disease.
Because of these two possible pathways, researchers wanted to know whether the source of nitrate mattered as much as the amount consumed.
To answer that question, scientists used detailed food questionnaires and nitrate databases to estimate intake from vegetables, animal foods, processed meat additives, and tap water. They also adjusted their analysis for age, sex, education, smoking, alcohol use, physical activity, body weight, and overall diet quality.
One of the clearest findings was linked to vegetables. Participants who consumed more nitrate from plant foods had a lower risk of developing dementia. Those in the highest intake group showed about a 10 percent lower risk compared with those who ate the least.
Associate Professor Catherine Bondonno of Edith Cowan University says vegetables offer more than nitrate alone. “When we eat nitrate-rich vegetables, we are also eating vitamins and antioxidants which are thought to help nitrate form the beneficial compound, nitric oxide, while blocking it from forming N-nitrosamines which are carcinogenic and potentially damaging to the brain,” she said.

The benefit did not rise endlessly with higher intake. Instead, moderate to higher vegetable nitrate levels seemed most helpful. This amount equals roughly one cup of leafy greens, such as baby spinach, each day.
People with higher vegetable nitrate intake often had other healthy habits too. They were more active, smoked less, and tended to have more education. While the study cannot prove cause and effect, the pattern supports long-standing advice to eat more vegetables.
The picture changed when nitrate came from animal sources. Participants with higher nitrate intake from red meat, dairy, and other animal foods had about a 13 percent higher risk of dementia.
Processed meats showed a similar trend. People who consumed more nitrate and nitrite from processed meat additives had roughly an 11 percent higher risk compared with those who consumed the least.
Unlike vegetables, meat does not contain antioxidants that block harmful chemical reactions. “Animal-based foods don’t contain these antioxidants,” Catherine Bondonno said. “In addition, meat also contains compounds such as heme iron which may actually increase the formation of N-nitrosamines.”
This difference may help explain why the same compound can show opposite effects depending on its source.
One of the most unexpected findings involved drinking water. For the first time, nitrate from tap water was linked to higher dementia risk. Participants exposed to higher water nitrate levels had about a 14 percent increased risk, even though those levels were below current safety limits.

In Denmark and across the European Union, the nitrate limit for drinking water is set at 50 milligrams per liter. In this study, increased risk appeared at levels as low as 5 milligrams per liter.
“Water doesn’t contain antioxidants that can block formation of N-nitrosamines,” Nicola Bondonno said. “Without these protective compounds, nitrate in drinking water may form N-nitrosamines in the body.”
She stressed that people should not stop drinking water. The increase in individual risk was small, and water remains far healthier than sugary drinks. Still, the findings suggest regulators may need to revisit long-term exposure limits.
When researchers looked specifically at early-onset dementia, the patterns became stronger. High vegetable nitrate intake was linked to notably lower risk. In contrast, nitrate from animal foods, processed meats, and water showed much higher relative risks.
Some estimates suggested increases of more than 70 percent for certain sources. However, scientists caution that early-onset cases were fewer, making those estimates less precise.
Even so, the consistency of the source-based pattern stood out.
This research highlights that nutrient source matters. It supports guidance to eat more vegetables and limit red and processed meats for long-term brain health. It also raises important questions about drinking water standards and chronic low-level nitrate exposure.
For researchers, the findings open new paths to study how diet chemistry affects the brain. For policymakers, they suggest that current nitrate limits may need reevaluation. For individuals, the message is simple and familiar: choose more vegetables and fewer processed meats.
Research findings are available online in the journal Alzheimer’s Association.
Like these kind of feel good stories? Get The Brighter Side of News’ newsletter.
The post Vegetable nitrates linked to lower dementia risk in long-term study appeared first on The Brighter Side of News.