When you step onto an icy sidewalk or push off on skis, the surface can seem to vanish beneath you. For more than a century, scientists have debated why ice stays slippery, even well below freezing. The most common explanation has been a thin film of liquid water forming between the ice and whatever slides across it. What has never been settled is how that water appears in the first place.
A new study led by Martin Müser, a professor at Saarland University, offers a fresh answer. Using large-scale computer simulations, Müser and his colleagues show that ice does not need to melt to become slippery. Instead, the crystal structure of ice can locally break down under motion, forming a disordered, water-like layer even at extreme cold. The findings were published in Physical Review Letters.
For decades, textbooks have pointed to three main ideas. One is pressure melting, where the force from a skate blade or tire briefly melts ice. Another is surface melting, where the topmost molecular layers behave like a liquid below zero. A third blames frictional heating, suggesting that motion warms the surface enough to create water. Each explanation fits part of the picture but fails in others. Experiments show little warming during fast sliding, and pressure melting alone cannot explain skiing at about minus 20 degrees Celsius.

This has left a gap between theory and experience. Either different mechanisms dominate under different conditions, or something important has been missing.
To close that gap, the research team turned to molecular dynamics simulations. These computer models track the motion of individual water molecules under carefully controlled conditions. The researchers used a well-tested water model known as TIP4P/Ice, which accurately reproduces the known properties of ice and liquid water.
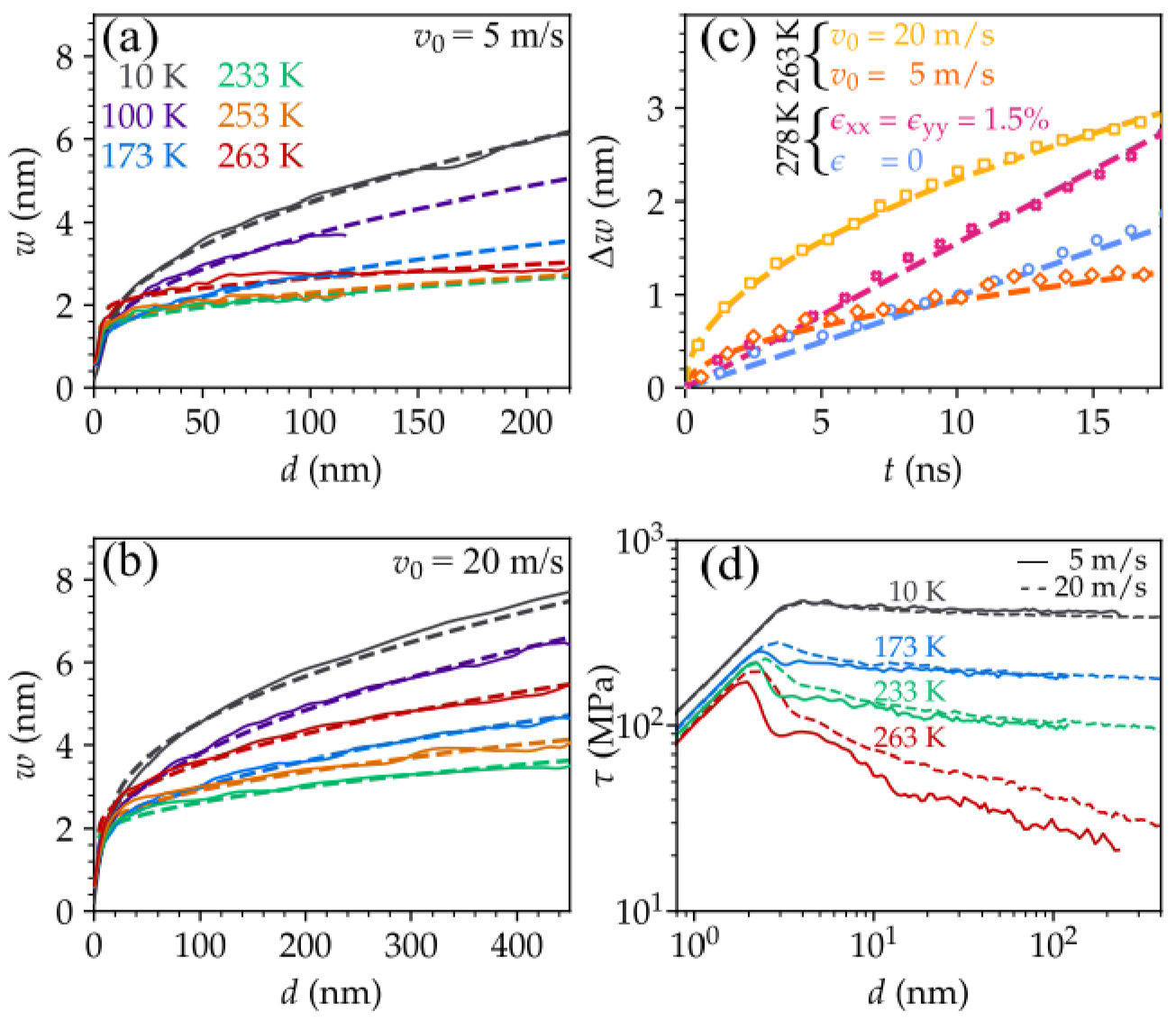
They began with the simplest setup imaginable. Two flat ice crystals were pressed together at an extremely low temperature, just 10 kelvins above absolute zero. Even before sliding started, tiny regions formed at the interface where the molecular energy was lower than in the perfect crystal. These spots appeared where the electric dipoles of surface water molecules lined up favorably across the contact.
Once sliding began, those same regions became weak points. The crystal structure around them started to deform and lose its order. Old patches disappeared, and new ones formed farther along the sliding path. Importantly, this breakdown did not require classic crystal defects or large bursts of heat. Ice has an open structure, so local rearrangements can occur with only small energy changes.
The result was a thin, disordered zone that behaved much like supercooled liquid water. Its molecular patterns matched those of liquid water, including a high number of molecules with five close neighbors, a hallmark of disorder. As this layer formed, the overall height of the system shrank slightly, reflecting the higher density of the amorphous material.

The team also tested a popular idea from surface physics known as structural lubricity, sometimes called superlubricity. In some materials, two atomically flat but mismatched crystals can slide with almost no friction because lateral forces cancel out. If this applied to ice, perfectly smooth crystals might glide effortlessly.
The simulations showed that this does not happen for realistic ice. Even when two ice crystals were misaligned and kept dry, the shear stresses remained high, often above 100 megapascals at minus 10 degrees Celsius. Low friction only appeared once a sufficiently thick disordered or liquid-like layer was present at the interface.
To understand why, the researchers compared TIP4P/Ice with a simpler water model called mW. That model lacks molecular orientation effects and can show very low shear stress under ideal conditions. Yet even there, adding a small number of extra particles or defects sharply increased friction. This echoed earlier findings that tiny amounts of contamination can destroy superlow friction between smooth surfaces.
One of the study’s central results concerns how the disordered layer grows. Once amorphization began, its thickness increased with the square root of the sliding distance. This pattern points to a process driven by displacement rather than temperature. Each small sideways motion gives surface molecules another chance to escape their crystal positions, while a thicker layer slows further growth.

“To test whether heat played a role, our team compared sliding-induced disorder with ordinary melting. Shearing one nanometer of ice at minus 10 degrees Celsius took about as long as melting the same amount of ice at rest when the crystal was artificially heated above freezing. Yet during sliding, the local temperature never rose above about minus 5 degrees Celsius,” Müser told The Brighter Side of News.
“Strain turned out to matter more than heat. A small in-plane stretch of the crystal sped up melting far more effectively than frictional warming. Even more surprising, very cold ice amorphized faster than warmer ice. At 10 kelvins, structural breakdown under sliding happened about six times faster than at minus 10 degrees Celsius,” he continued.
This finding challenges the common belief that skiing becomes difficult in extreme cold because ice fails to liquefy. Instead, the problem appears to be the opposite. The disordered layer that forms at low temperatures behaves like a very thick fluid with high resistance to flow.
Connecting molecular behavior to real-world slipperiness is not simple. Friction depends on surface roughness, contact geometry, water squeeze-out, and how ice deforms under load. To bridge that gap, the researchers simulated a rigid, corrugated surface pressing into ice and then sliding over it at realistic speeds.
When a hydrophilic, or water-attracting, surface was driven into ice at high pressure, it left a permanent indentation. During later sliding, the friction coefficient peaked around 0.5, similar to values measured with atomic force microscopes. Friction dropped as the surface began to glide within its own track, shaped by thin water layers and capillary forces.

When the same surface was made hydrophobic, meaning it repelled water, friction fell dramatically. Both the initial sticking force and the steady sliding resistance were about half as large. Away from the indentation, friction dropped below 0.1 and sometimes approached values associated with very slippery ice.
The reason lies in how water behaves at different surfaces. At hydrophobic walls, water can slip more easily, and stress fluctuations that dissipate energy are reduced. Although the atomic structures looked similar, the effect on friction was large.
The simulations point to a clear recipe for low friction on ice. A sliding surface must allow a disordered water-like layer to form, but it must also be smooth and weakly interacting with water. Roughness and strong adhesion amplify energy loss, raising friction.
Using typical stresses and loads, the researchers estimated a lower bound for ice-on-ice friction of about 0.05 at minus 10 degrees Celsius. For other materials, such as steel on ice, even lower values around 0.01 are consistent, because adhesion is weaker and slip is easier.
Taken together, the results overturn several long-held assumptions. Thin premelted films matter only at the very start of sliding. After that, thicker amorphous layers created by motion dominate. Pressure melting can still play a role when roughness creates strong stress gradients, but large temperature rises are not required.
“Until now, it was assumed that skiing below minus 40 degrees Fahrenheit is impossible,” Müser said. The simulations suggest otherwise. Ice can remain slippery at such temperatures, but the disordered layer becomes so viscous that glide turns into drag.
Research findings are available online in the journal Physical Review Letters.
Like these kind of feel good stories? Get The Brighter Side of News’ newsletter.
The post Decades-old mystery solved as scientists identify what really makes ice slippery appeared first on The Brighter Side of News.