Language may feel like one of the most distinctly human things about you, but the genetic groundwork for it appears to be older than our own species.
A new study from University of Iowa Health Care reports that a narrow slice of the genome, less than 0.1% of all human DNA, has a strikingly large effect on language ability. These sequences, called Human Ancestor Quickly Evolved Regions, or HAQERs, seem to have taken shape before modern humans and Neanderthals split. The work suggests that some of the biological machinery tied to language was already in place far earlier than many scientists assumed.
Jacob Michaelson, senior author of the study and Roy J. Carver Professor of Psychiatry and Neuroscience in the University of Iowa Roy J. and Lucille A. Carver College of Medicine, put the result in simple terms.
“What we’re seeing is how a very small part of the genome can have an outsized influence, not just on who we were as a species, but on who we are as individuals,” he said.

The paper, published in Science Advances, argues that these regulatory regions act less like genes themselves and more like control switches. Michaelson compares them to “volume knobs” that tune how genes behave. In that picture, language is the software, while the brain’s structure is the hardware.
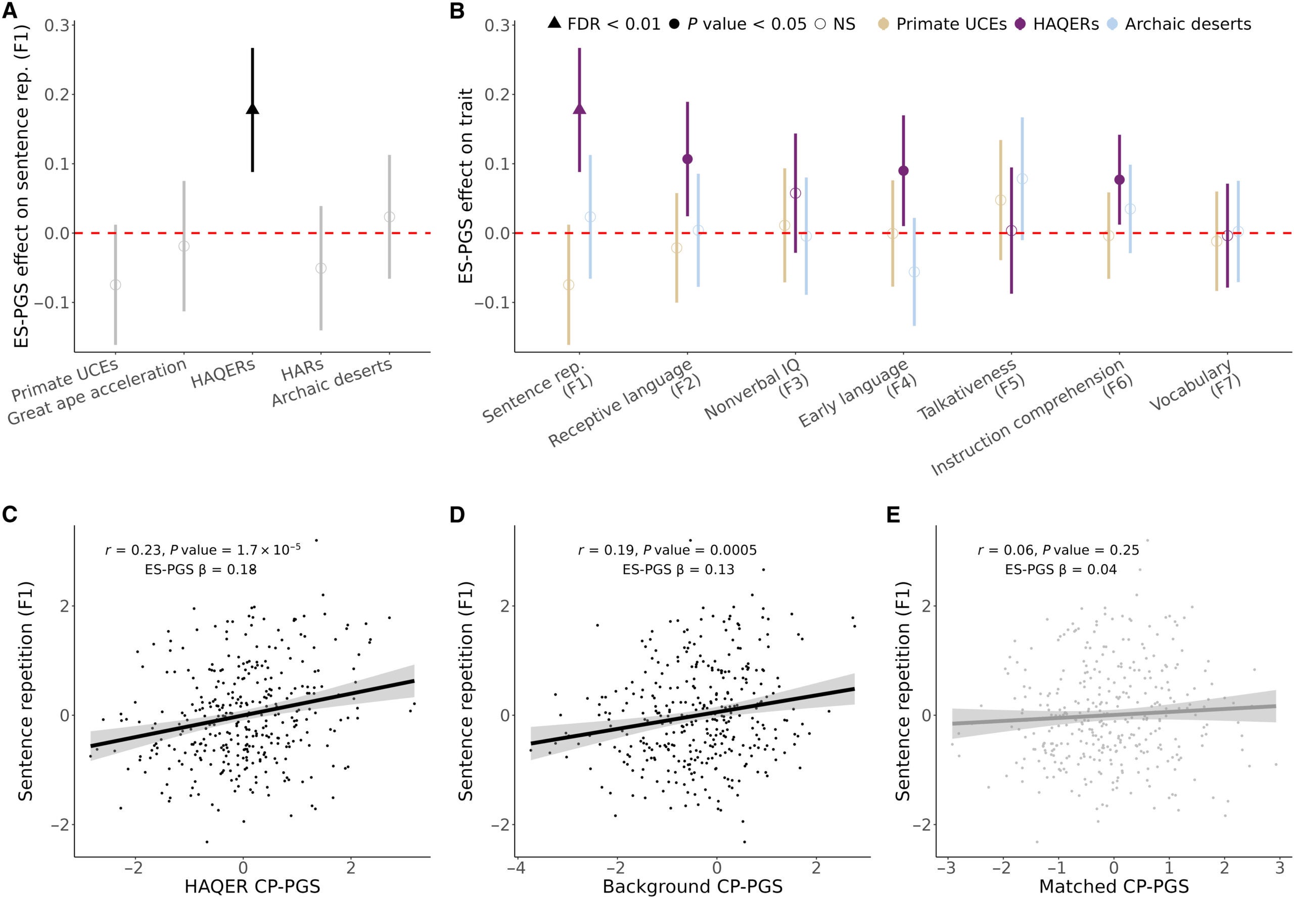
That distinction matters, because the study does not point to a single “language gene.” Instead, it traces language ability to thousands of regulatory elements spread across the genome, with HAQERs standing out from the rest.
Part of the study rests on work that began decades ago.
In the 1990s, Bruce Tomblin, now professor emeritus in the University of Iowa Department of Communication Sciences and Disorders, followed a cohort of 350 Iowa students to study language development. He carefully tracked their language abilities and collected saliva samples, preserving DNA that would later become useful for genomic research.
Michaelson’s lab eventually sequenced that DNA through NIH-funded work and paired the genetic data with the students’ language scores. From there, the team, led in part by first author Lucas Casten, now a postdoctoral researcher at the Max Planck Institute of Psychiatry in Munich, started asking a bigger question: whether certain evolutionary chapters in the genome carried special weight for language.
To do that, they built what they call an evolutionary-stratified polygenic score, or ES-PGS. The method sorts genetic effects by when the relevant DNA sequences appeared in evolutionary history. The team then compared those layers across roughly 65 million years of primate evolution.

HAQERs emerged as the strongest signal.
The researchers found that these regions were associated with several language-related factors, especially sentence repetition, which they used as a measure of general language ability. They were not linked in the same way to nonverbal IQ. That split is one of the study’s central points: verbal ability and general cognition may not have followed the same evolutionary path.
The effect size was unusually large. According to the study, SNPs in HAQERs carried 188 times more predictive power for language than SNPs elsewhere in the genome. In the Iowa cohort, HAQERs alone explained a 4% gain in variance for sentence repetition scores, while the rest of the genome explained 3.7%.
One of the paper’s more provocative findings is that HAQERs were present in Neanderthals and may even have been more prominent there than in living humans.
That does not mean Neanderthals spoke exactly as modern humans do. The authors are careful on that point. But it does suggest that at least some of the biological foundations for language were already in place before the human-Neanderthal split.
“This HAQERs aspect, a sliver of the genome, has remained relatively constant, even as other aspects have been going up and up and up to make modern humans smarter and smarter,” Michaelson said. “We can say humans at least had the ‘hardware’ for language earlier than what we previously thought.”
The team ties that result to archaeological evidence that Neanderthals had culture and organized social structures. In Michaelson’s view, that makes some form of complex communication hard to dismiss.

The study also tried to validate the language link in several independent datasets. In the SPARK autism dataset, involving more than 30,000 people, HAQER-based scores predicted verbal language capability and language disorder diagnoses in parents without autism, but not psychiatric conditions. The same genomic signal was associated with spoken word recall in the ABCD developmental cohort. In the UK Biobank, it was linked to verbal working memory and educational attainment, but not matrix reasoning, which is a nonverbal measure.
That pattern kept repeating.
The findings raise an obvious question. If these regions are so useful for language, why did evolution not keep pushing them further?
The paper’s answer is balancing selection, an evolutionary push and pull in which a trait brings benefits but also costs.
In this case, the authors argue that HAQERs support prenatal brain development in ways that also increase head size at birth. That can create serious risks during childbirth. Before modern medicine, larger infant heads could make delivery more dangerous for both mother and child.
“We think that early humans maxed out this pathway to developing the kind of brain that could be a vessel for language and they hit that ceiling pretty early on and then remained stable, while other aspects of genetics that improve brain development for higher intelligence but don’t directly affect fetal brain size, continued to evolve,” Michaelson said.

The study found several pieces of evidence consistent with that idea. HAQERs were enriched near regions associated with prenatal brain gene expression and head circumference at birth. In the ABCD cohort, higher HAQER scores tracked with both stronger cognitive measures and more birth complication-related variables. The authors argue that this tradeoff may help explain why language-linked variants in HAQERs stayed relatively stable over time, even while broader cognitive variants appear to have risen under positive selection.
It is a bold claim, though the paper also notes reasons for caution. The authors say cross-population polygenic score analyses can be difficult to interpret, especially when applied to ancient genomes. They also note that replication effect sizes in outside datasets were modest, likely because those datasets used broader or less detailed language measures than the Iowa cohort.
The study does not offer a simple genetic test for language ability, nor does it reduce language to one pathway. What it does offer is a more precise map of where researchers should look next.
Michaelson’s lab now hopes to return to the original Iowa cohort, whose members are now adults with families of their own. That could let researchers study how genetics and environment interact across generations.
“One of the things we’re interested in is disentangling the environmental input from the genetic input, when thinking about how a child masters language,” Michaelson said.
That matters clinically. Children raised in language-rich environments may develop stronger language skills, and the researchers want to separate direct genetic effects from what scientists call “genetic nurture,” where parents’ genetics shape the home environment they create.
If that work succeeds, it could sharpen how scientists think about language disorders and help clarify which parts of language development are most open to support and intervention.
Research findings are available online in the journal Science Advances.
The original story “Humans and Neanderthals share ancient DNA linked to human language” is published in The Brighter Side of News.
Like these kind of feel good stories? Get The Brighter Side of News’ newsletter.
The post Humans and Neanderthals share ancient DNA linked to human language appeared first on The Brighter Side of News.
Leave a comment
You must be logged in to post a comment.