In most materials, motion eventually fades.
Electric current weakens as electrons scatter inside a wire. Heat spreads through a solid until temperature differences vanish. Fluids moving through pipes lose energy to friction along the walls. Collisions, defects, and random motion steadily break down organized flow.
Yet in a laboratory experiment in Austria, physicists built a system where that familiar slowdown almost disappears.
Working with an ultracold gas of rubidium atoms, researchers at TU Wien observed a form of transport in which mass and energy keep moving without degrading. Even after many collisions between atoms, the flow remained intact rather than dispersing.
The result, reported in Science, offers a rare glimpse of nearly perfect transport in a controlled quantum system.

Physicists generally describe transport in two basic ways.
One is ballistic motion. In this regime, particles travel freely with little interruption. If a particle covers twice the distance, it simply takes twice the time. The trajectory resembles a bullet flying through space.
The second is diffusion, which dominates most everyday processes. Collisions constantly redirect particles, causing them to wander randomly. Heat conduction works this way. Warmer particles transfer energy to cooler ones until temperatures equalize.
“In principle, there are two very different types of transport phenomena,” said Frederik Møller of the Atominstitut at TU Wien.
Ballistic motion follows a straightforward relationship between distance and time. Diffusion behaves differently.
“To cover twice the distance, you typically need four times as long,” Møller said.
The ultracold gas in the new experiment followed neither pattern.

The researchers created their unusual system using about 87Rb atoms cooled to temperatures between 30 and 70 nanokelvin.
Magnetic fields generated by an atom chip trapped the gas in a long, narrow shape. Strong confinement along two directions forced the atoms to move only along a single line about 100 micrometers long. Optical potentials produced with a digital micromirror device shaped and controlled the trap.
In this one-dimensional environment, atoms could collide only head-on.
The team prepared the gas in thermal equilibrium using laser cooling and evaporative cooling. The interaction strength placed the system deep in what physicists call the quasi-condensate regime, where interactions dominate the energy of the gas.
Dynamics began when the researchers suddenly changed the trapping potential along the line of atoms. They then tracked how the atomic density evolved by taking absorption images at different times.
Those images revealed something unexpected.
Instead of gradually spreading out as collisions accumulated, the flow of atoms remained sharply defined.

“By studying the atomic current, we could see that diffusion is practically completely suppressed,” Møller said.
Even though atoms collided countless times, quantities such as mass and energy kept traveling through the gas without dissipating into random motion.
The researchers compared this behavior to a Newton’s cradle, the familiar desktop device with a row of suspended metal balls. When one ball strikes the chain, its momentum transfers through the row and launches the ball on the opposite end while the others barely move.
“The atoms in our system can only collide along a single direction,” Møller explained. “Their momenta are not scattered but simply exchanged between collision partners.”
Momentum remains conserved in each collision. It can move through the gas, but it cannot disappear.
The result is a system that behaves like a perfect conductor of motion.
To quantify this behavior, the researchers focused on a quantity called the Drude weight.
In condensed matter physics, the Drude weight measures how strongly a system supports persistent currents. Metals typically have a finite Drude weight, reflecting mobile charge carriers. Insulators have none.
At finite temperatures, interacting systems normally lose this property because collisions degrade currents.
The TU Wien team wanted to determine whether their atomic gas behaved differently.
They used two experimental approaches.
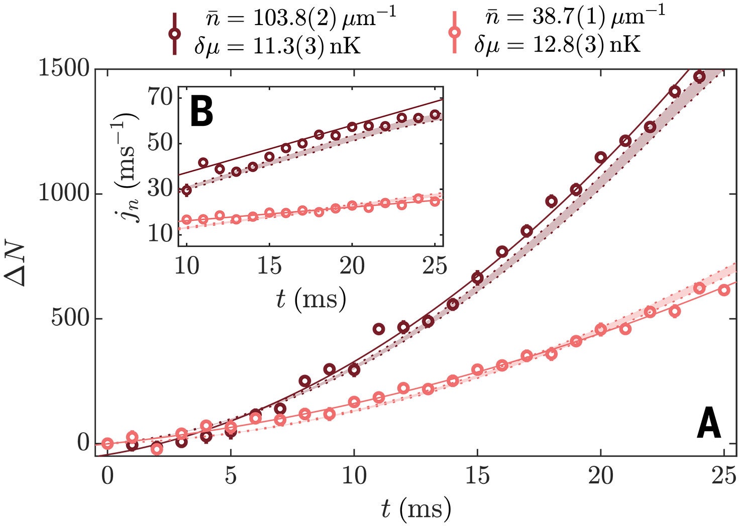
In the first, the scientists tilted the trapping potential so atoms felt a constant force along the line. This setup resembles applying an electric field across a material sample. The force produced a growing current of atoms moving across the center of the trap.
By tracking how the imbalance of atoms between the left and right halves changed over time, the researchers could extract the particle current.
A second experiment created two halves of the gas with different densities. When the barrier between them disappeared, atoms flowed between the regions.
Two waves moved outward from the center as the system evolved.
If diffusion dominated, the spreading pattern would scale with the square root of time. Instead, the density and current profiles collapsed onto a single curve when plotted against distance divided by time, a signature of ballistic transport.
Directly measuring currents in the experiment was difficult because the imaging process destroys the gas.
To overcome this, the researchers used a physics-informed neural network. The model incorporated the conservation laws for mass and energy to infer the underlying currents from measured density data.
Given spatial and temporal coordinates, the network predicted the local density, particle current, and energy current while ensuring the results satisfied the continuity equations.
Despite receiving only density measurements, the model reconstructed the currents with high accuracy.
The resulting data confirmed the absence of diffusive scaling.
One striking consequence of the experiment is that the atomic cloud does not reach ordinary thermal equilibrium.
In most materials, energy gradually spreads out and becomes uniformly distributed. Here, momentum and energy continue to move through the system without fading.
“These results show why such an atomic cloud does not thermalize,” Møller said.
Instead of relaxing into a uniform state, the system maintains long-lived currents.
The behavior arises from the integrable nature of the one-dimensional gas. In such systems, many conserved quantities restrict how energy and momentum can redistribute.
The experiment also revealed features of dispersive shock waves. As dense regions of the gas expanded into lower-density areas, a rarefaction wave and density peak appeared, patterns consistent with theoretical descriptions known as Whitham theory.
Transport processes lie at the heart of physics, from electronic conduction in materials to energy flow in quantum devices. Experiments that isolate and measure these processes in controlled systems provide valuable benchmarks for theory.
The TU Wien results demonstrate how ultracold gases can act as clean platforms for studying quantum transport that would be difficult to observe in conventional materials. By directly measuring Drude weights and ballistic currents, the work tests predictions from generalized hydrodynamics and other models of many-body physics.
Understanding how resistance emerges, or disappears, in quantum systems could help physicists refine theories of conductivity and develop better ways to control energy flow at microscopic scales.
Research findings are available online in the journal Science.
The original story “Physicists build a quantum Newton’s cradle where energy flows without resistance” is published in The Brighter Side of News.
Like these kind of feel good stories? Get The Brighter Side of News’ newsletter.
The post Physicists build a quantum Newton’s cradle where energy flows without resistance appeared first on The Brighter Side of News.