Antibiotics meant to heal are leaving a quiet trace in rivers, sediments, and even the fish people eat. A new study from researchers at the Center for Nuclear Energy in Agriculture at the University of São Paulo reveals how deep that trace runs, and how difficult it may be to erase.
The research focused on the Piracicaba River, a major waterway in São Paulo state. The team tracked antibiotic residues across water, sediment, and fish. They also tested whether a floating plant, Salvinia auriculata, could help reduce contamination.
The findings show a system under pressure. Antibiotics appear across the ecosystem, shift with the seasons, and move into living organisms in ways that are not always predictable.

The researchers collected samples near the Santa Maria da Serra dam, close to the Barra Bonita reservoir. This area gathers pollutants from across the river basin. Sources include treated sewage, household waste, aquaculture, pig farming, and agricultural runoff.
They tested water, sediment, and fish during both rainy and dry seasons. The analysis covered 12 antibiotics from major classes, including tetracyclines, fluoroquinolones, sulfonamides, and phenols.
A clear seasonal pattern emerged. During the rainy season, most antibiotics stayed below detection levels. Higher water volume likely diluted contaminants. In the dry season, however, reduced flow led to higher concentrations.
“The results showed a clear pattern of seasonality,” said lead author Patrícia Alexandre Evangelista. “During the rainy season, most antibiotics had concentrations below detection limits. In the dry season, however, when water volume decreases and contaminants become concentrated, different compounds were detected.”
Concentrations ranged from nanograms per liter in water to micrograms per kilogram in sediment. The sediment itself plays a key role. Rich in organic matter and nutrients like phosphorus, calcium, and magnesium, it acts as a storage site. Over time, it can release those compounds back into the water.
One of the most striking findings came from fish collected by local fishermen. The team detected chloramphenicol in lambari fish, a species widely consumed in the region.

This antibiotic is banned for use in livestock in Brazil due to toxicity concerns. Yet it still appeared in fish during the dry season, at levels reaching tens of micrograms per kilogram.
This suggests a possible pathway for human exposure through food. It also highlights how contaminants can move from water into the food chain.
Evangelista explained the focus on chloramphenicol and enrofloxacin. “Enrofloxacin is widely used in animal husbandry, including aquaculture, as well as in human medicine. Chloramphenicol, on the other hand, is still used in humans despite being banned for food-producing animals and serves as a historical marker of persistent contamination,” she said.
The team also explored whether Salvinia auriculata, a floating aquatic plant often seen as a nuisance, could help clean contaminated water.
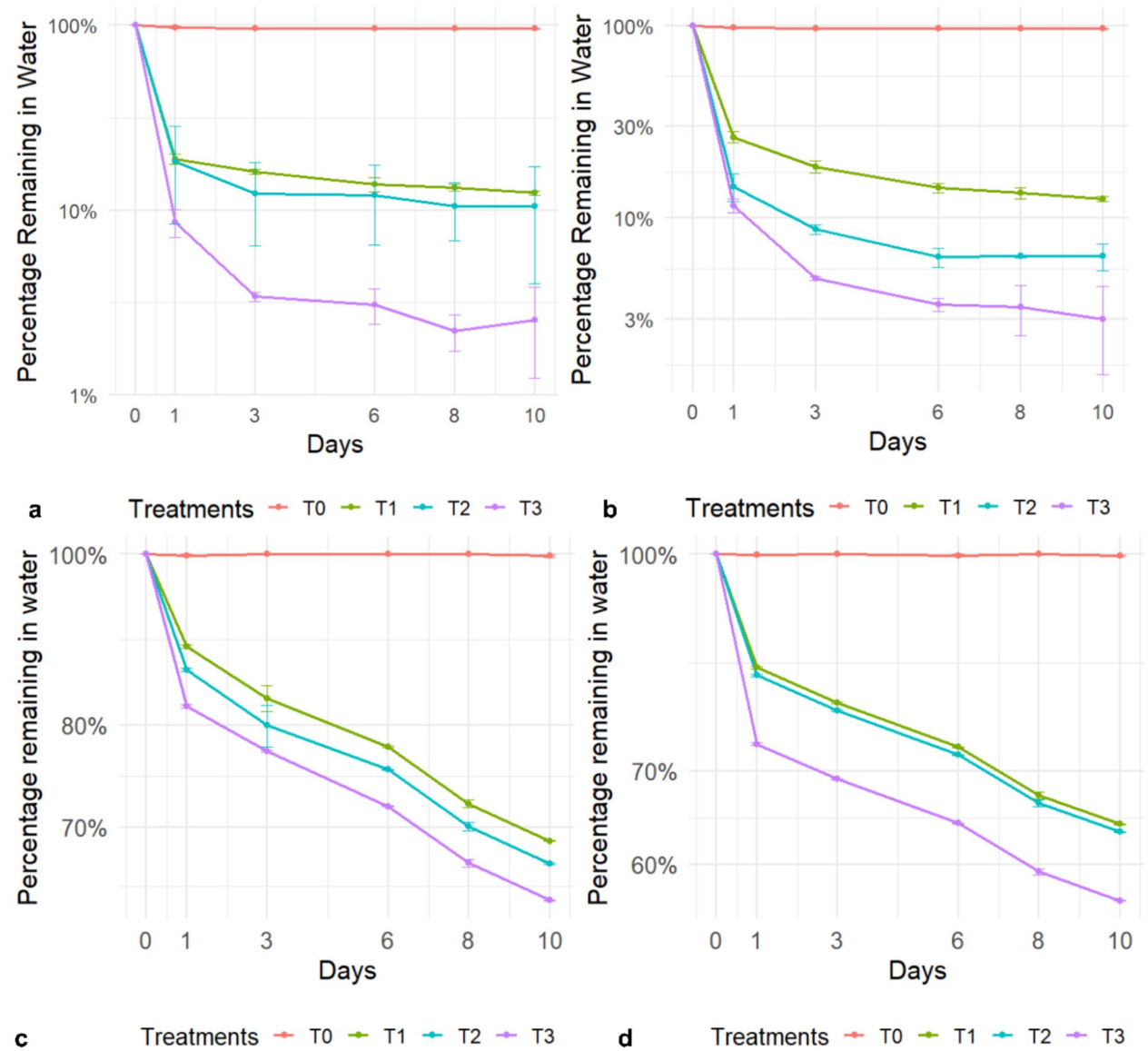
In controlled experiments, the plant was exposed to both environmental and elevated levels of antibiotics. The researchers used radiolabeled compounds to track exactly where the substances went.
The results varied by compound. For enrofloxacin, the plant proved highly effective. With greater plant biomass, more than 95 percent of the antibiotic was removed within a few days. Its half-life dropped to just two to three days.

Chloramphenicol showed more resistance. The plant removed only 30 to 45 percent of it. Its half-life ranged from 16 to 20 days, indicating stronger persistence in the environment.
Images from autoradiography revealed where the antibiotics accumulated. In both cases, they concentrated mainly in the plant’s roots. This points to root absorption as a key mechanism.
Removing antibiotics from water did not always reduce exposure in fish. The study found a more complex interaction.
Enrofloxacin mostly stayed dissolved in water and cleared relatively quickly from fish. Its half-life in fish was about 21 days, and it showed low accumulation in tissues.
Chloramphenicol behaved differently. It remained in fish much longer, with a half-life exceeding 90 days. It also showed a high tendency to build up in tissues.
When Salvinia auriculata was present, the dynamics changed. While the plant reduced overall concentrations in water, fish sometimes absorbed the antibiotics more quickly.
Researchers suggest the plant may alter the chemical form of the compounds, making them easier for fish to absorb. This highlights the complexity of using plants as natural filters.

“This shows that using plants as ‘sponges’ for contaminants is not a trivial matter,” Evangelista said. “The presence of the macrophyte changes the entire system, including the way the organism comes into contact with the contaminant.”
The study also examined genetic damage in fish. Scientists measured indicators such as micronuclei and nuclear abnormalities in blood cells.
Chloramphenicol caused a clear increase in DNA damage. However, when the plant was present, this damage dropped to levels close to those in control groups.
For enrofloxacin, the plant did not significantly reduce genetic damage. The researchers suggest this may be due to the compound’s stability and the persistence of its byproducts.
“The interpretation we propose is that, in the case of chloramphenicol, the plant may generate fewer genotoxic byproducts or release antioxidant compounds into the rhizosphere, reducing oxidative stress in the fish,” Evangelista said.
The study presents Salvinia auriculata as a promising, low-cost tool for reducing certain contaminants. However, it is not a simple fix.
The plant can accumulate antibiotics in its tissues. If that biomass is not removed and treated properly, it could release those compounds back into the environment.
There are also uncertainties about how the plant alters chemical forms of pollutants and how those changes affect living organisms.
Evangelista emphasized that any solution must account for the full system. “The study shows that the problem is real, measurable, and complex. And any strategy to address it must consider not only the removal of the contaminant, but also its biological and ecological effects,” she said.
Co-author Valdemar Luiz Tornisielo added that antibiotic contamination reflects broader human impact. “The detection of antibiotic residues in the water, sediments, and fish of the Piracicaba River shows just how harmful human activities can be,” he said.
This research highlights a growing environmental and public health concern. Antibiotics entering rivers can promote resistant bacteria, increasing the risk of so-called superbugs. These resistant strains can spread through water systems and food chains, affecting both ecosystems and human health.
The findings also suggest that people may face indirect exposure through contaminated fish. This raises concerns for communities that rely on local waterways for food.
At the same time, the study points to possible solutions. Nature-based approaches, such as using aquatic plants, could offer affordable ways to reduce pollution where advanced treatment systems are not available. However, these solutions must be managed carefully to avoid unintended consequences.
For future research, the work provides a model for integrated analysis. By combining monitoring, biological testing, and remediation experiments, scientists can better understand how pollutants behave and how to reduce their impact.
Research findings are available online in the journal Environmental Sciences Europe.
The original story “Researchers develop plant-based cleanup for harmful antibiotics found in rivers and fish” is published in The Brighter Side of News.
Like these kind of feel good stories? Get The Brighter Side of News’ newsletter.
The post Researchers develop plant-based cleanup for harmful antibiotics found in rivers and fish appeared first on The Brighter Side of News.